1
svar
125
visningar
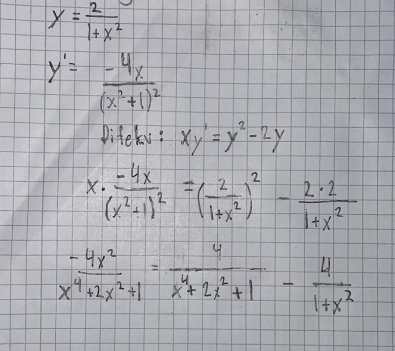
Differentialekvation

Jobbar på denna uppgift och hoppas att jag är rätt såhär långt iaf. Ser att jag fått samma nämnare vid två ställen och antar att jag ska skriva om det längt till höger. Men hur ska jag gå tillväga?
Det blir enklare om du skriver HL som y(y-2)