1
svar
76
visningar
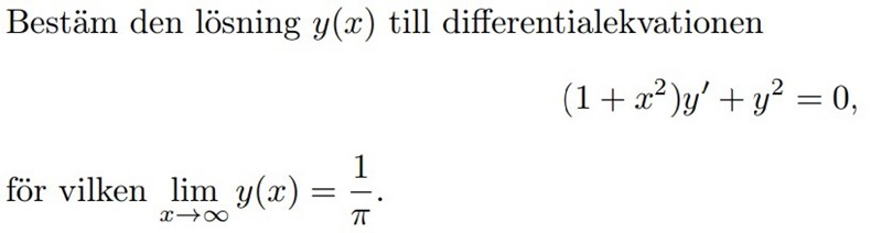
Differentialekvation
Jag har kommit förbi flera extentauppgifter som är lik denna och fattar verkligen inte vad som händer.

I facit skriver dem såhär och fattar inte hur det blir såhär.

Hur blir liksom vänsterledet till högerledet.
Hur blir till ?
Lite förklaring uppskattas!
Subtrahera från båda led:
Dividera med , och dividera sedan för att få -termen i VL:
:)