1
svar
46
visningar
offan123 behöver inte mer hjälp
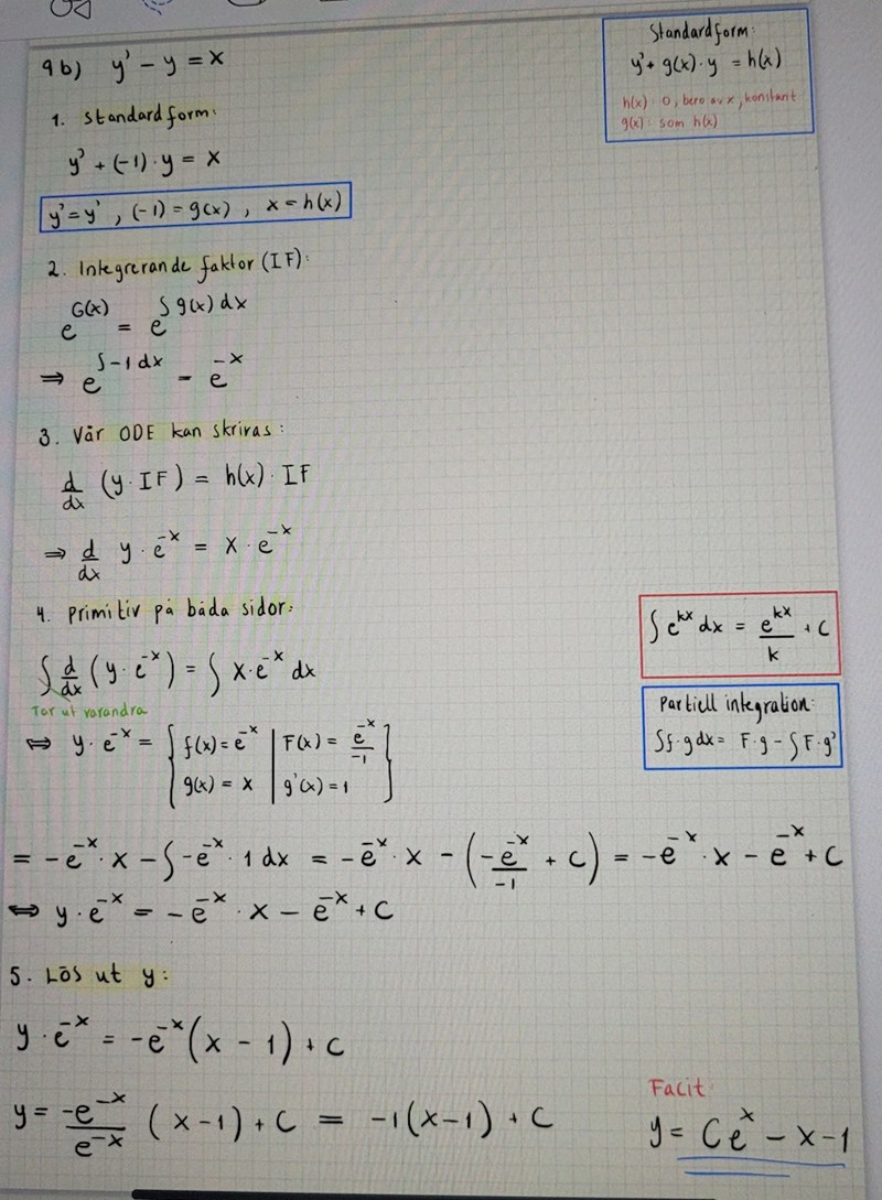
Differentialekvation

Jag vet inte vart det blivit fel. Hur kan jag komma vidare?
facit har fel