1
svar
97
visningar
Valliu behöver inte mer hjälp
Differentialekvation
Hejsan!
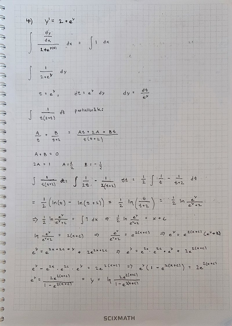
Skulle lösa följande uppgift
![]()
Och mitt lösningsförslag ser ut som följande:

Jag har fått rätt svar men har jag krånglat till det i onödan?
Enligt facit är svaret och är denna jag är mest intresserad av att veta hur man kommer fram till.
Enligt Wolfram:
Använd att
ln(a/b) = -ln(b/a)
Konstanten kan du sätta framför exponentialfunktionen, som facit har gjort, eller lägga i exponenten, som Wolfram har gjort.