Differentialekvation
När man beräknar de två egenvektorerna använder man ju sig av parameterlösning, men om man multiplicerar denna vektor, tex i mitt fall m(2 3) med tex -1 skulle det ju bli en annan egenvektor och därefter ett annat C1,C2. Jag antar alltså att det inte finns ett korrekt C1 respektive C2 utan att det som måste vara konstant är mina egenvärden som blir e^(lamda1) samt e^(lamda2). Stämmer detta? Även den specifika lösningen då man använder begynnelsevärden blir ju olika beroende på vald egenvektor.

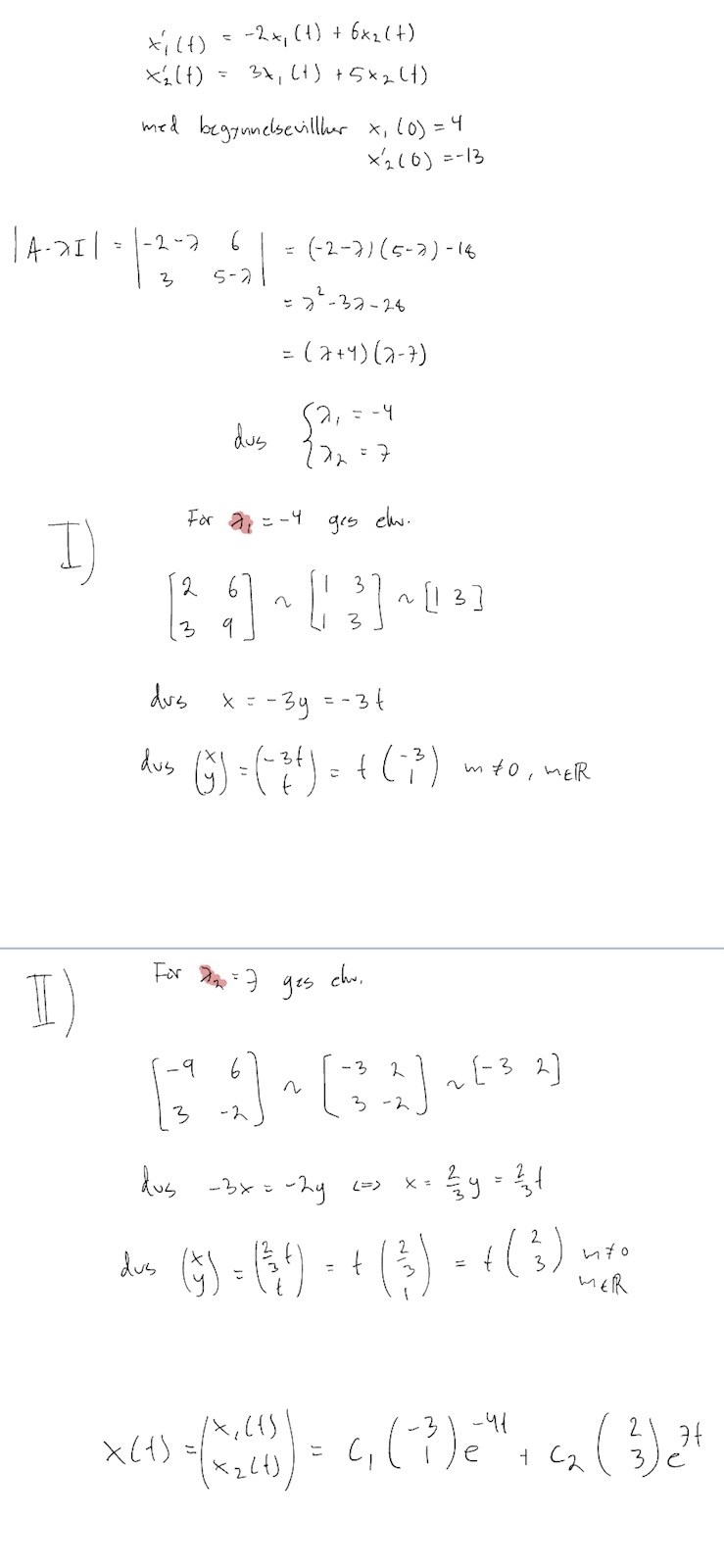
När man säger att en linjär transformation har, säg två egenvektorer och , så menar man inte att det bara finns två egenvektorer till . Om och är någon skalär (ej lika med noll) så är nämligen . Alltså är också en egenvektor till .
Detta visar att om är en egenvektor till så är också alla multiplar av också egenvektorer. Det som menas när man säger att " har egenvektorerna och " är alltså egentligen att egenvektorerna till är alla (nollskilda) skalärmultiplar av och , alltså att egenvektorerna är de oändliga mängderna av vektorer och . Man kan se det som att man väljer en representant ur var och en av dessa mängder och kallar representanten för en egenvektor, men i själva verket så står varje egenvektor för en hel familj egenvektorer.
Notera att i varje sådan oändlig familj av multiplar har alla vektorer ett och samma egenvärde.
Låt nu och vara egenvektorerna i dina beräkningar. När man skriver den generella lösningen på systemet "" så menar man inte att det finns en unik funktion som löser ekvationssystemet, utan att det finns oändligt många lösningar, en för varje val av konstanterna och .
Det gäller att om och är lösningar till systemet, så är även en linjär kombination av och också en lösning på systemet: , för . Det betyder att om vi hittar en enda lösning, så har vi automatiskt oändligt många lösningar eftersom vi kan multiplicera den med alla möjliga reella tal.
När man skriver den generella lösningen så menar man att samtliga lösningar ges av
Denna oändliga mängd funktioner blir densamma om vi ersätter med eller någon annan multipel av , och på samma sätt för . Eftersom och är godtyckliga konstanter som varierar över alla möjliga tal så kommer mängden ovan förbli densamma.