Differentialekvation av första ordningen
Hej! Jag behöver hjälp med den här uppgiften:
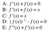
Avgör vilka av ekvationerna som är en differentialekvation av första ordningen.

Jag vet att detta y′+ay=0 kan man lösa via den här formeln y=Ce−ax men det säger mig ingenting om hur jag ska använda det till att lösa uppgiften. Någon som kan förklara? :)
Du behöver inte lösa någon av ekvationerna, utan endast identifiera om de tillhör första ordningens diffar, eller inte. Ordningen bestäms av hur många deriveringar som finns med i ekvationsuttrycket. Om ekvationen endast innehåller funktionens första derivata och funktionen självt, är det en diff av första ordningen. Om ekvationen exempelvis innehåller andraderivator, är det inte en diff av första ordningen. :)
Hmm så A, B och D. Stämmer det?
A och B är rätt, men hur är det med D? Tre av alternativen är diffar av första ordningen. :)
Juste, D innehåller inte derivering. Men då måste C vara den tredje?
