2
svar
161
visningar
Differentialekvation - Integrerande faktor
Hej!
Hur bestämmer jag en integrerande faktor samt alla lösningar till följande differentialekvation?
Jag kommer inte längre än att jag får ut den integrerande faktorn genom att integrera
Hur går jag sedan vidare för att hitta samtliga lösningar till ekvationen?
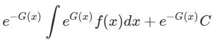
Använd den här formeln, f(x) är HL och g(x) är integrerande faktorn. y =

I och för sig finns en enklare formel eftersom HL är 0. Titta här