0
svar
56
visningar
destiny99 behöver inte mer hjälp
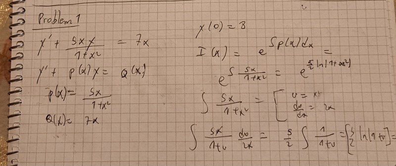
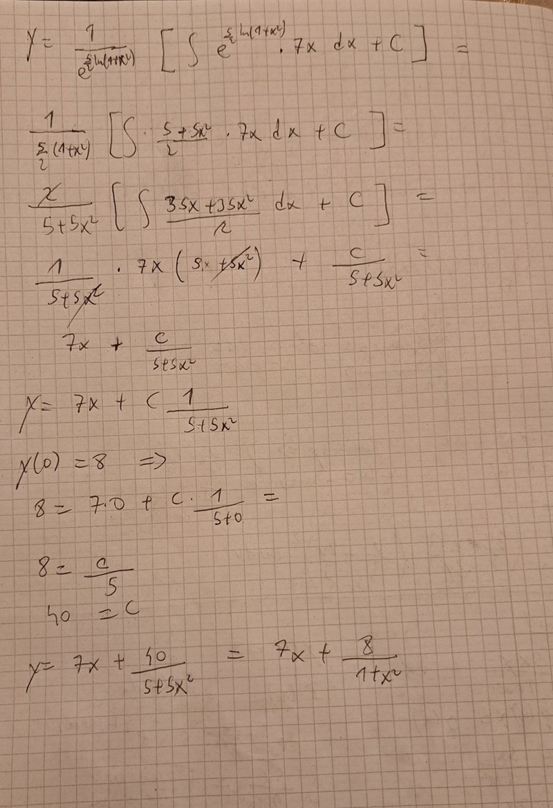
Differentialekvation med bivillkor

Hej!
varför är mitt svar fel??