Differentialekvation med lnx/x

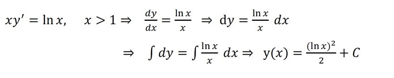
Nån som kan förklara hur man kommer fram till att den primitiva funktion av ln(x)/x blir ((lnx)^2)/2?
Har provat partialintegration men de blir inte lättare att lösa.
hannapanna98 skrev:
Nån som kan förklara hur man kommer fram till att den primitiva funktion av ln(x)/x blir ((lnx)^2)/2?
Har provat partialintegration men de blir inte lättare att lösa.
Hej! Här gäller det att man gör en substitution. Ser du någon som skulle kunna fungera för att ändra på lnx/x?
Ja jag tänker att man byter ut ln(x) till t men blir då x=e^ln(t)? Och sedan kör partialintegration? Tycker att variabelbyte är riktigt svårt att förstå
Med t=ln x blir dt=dx/x. Integranden övergår då till t dt och primitiv fkn till den blir t2/2
Är det att 1/x försvinner pga att det är derivatan till lnx som gör att den försvinner på nått vis?
Det är att dt innehåller 1/x.