1
svar
89
visningar
dfdfdf behöver inte mer hjälp
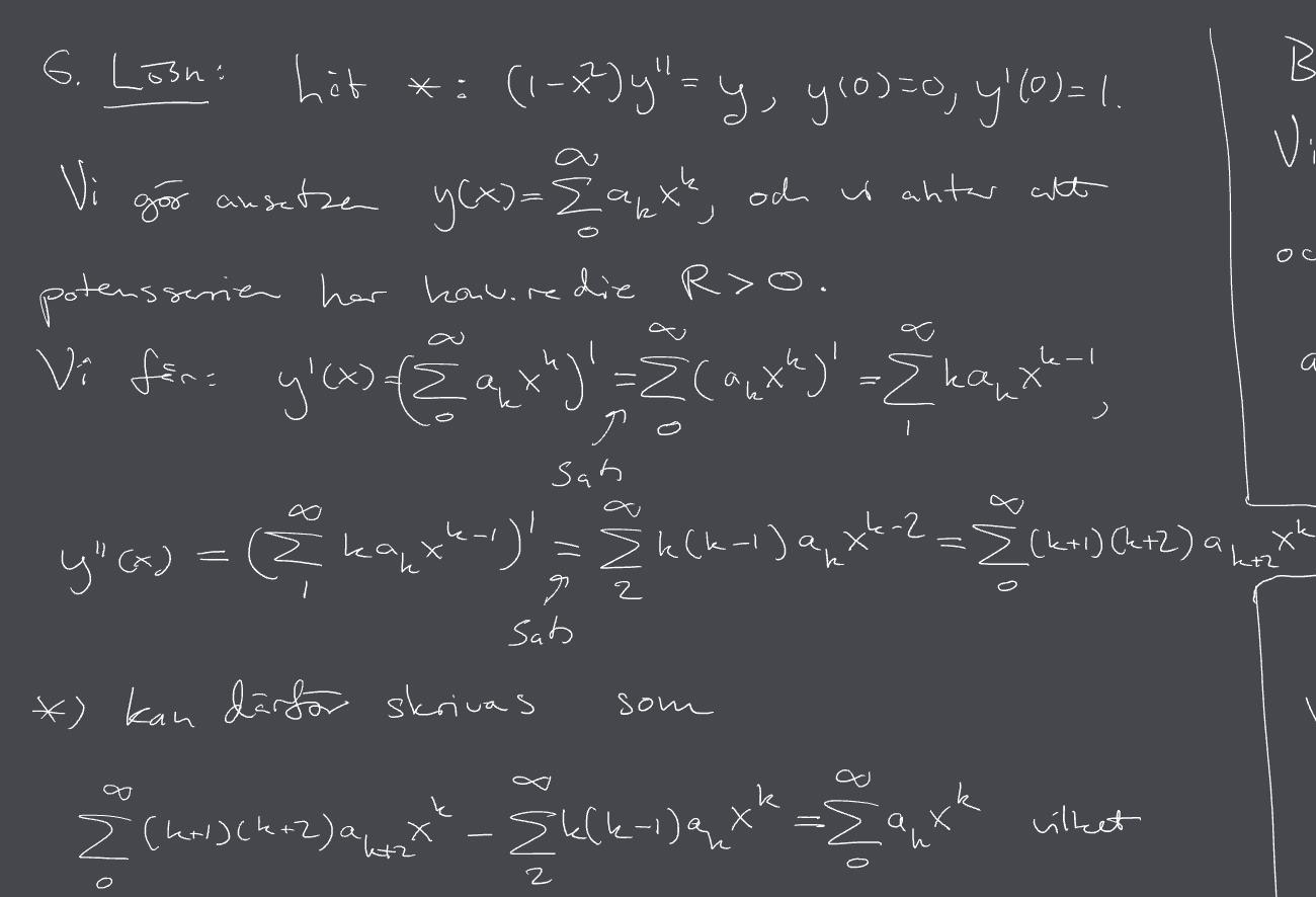
Differentialekvation med potensserie som ansats


Vad är iden bakom att vi försöker att få x^k hela tiden, och då alltså inte x^k+1 tillexempel?
Det bör vara för att enkelt kunna lösa ut a_1, a_2 etc