Differentialekvation - numerisk lösning
Hej!
Jag har fastnat på en uppgift och vet inte riktigt hur jag ska tänka för att angripa problemet..
Jag visste inte om jag skulle lägga in problemet under "matematik" eller "programmering", men då det gäller en kurs inom matematik så valde jag detta forum, hoppas det är ok!
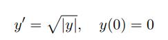
Problemet är att lösa ett BVP:
Uppgiftsbeskrivningen ser ut så här:
Där jag först ska lösa problemet analytiskt vilket jag gjort. Därefter ska jag lösa problemet numeriskt vilket jag också gjort m.h.a. Euler's metod (framåt euler).
Det jag nu har problem med är den tredje biten där jag ska få en lösning att "fastna" på y = 0
Problemet är att jag inte riktigt förstår hur jag ska åstadkomma det här, misstänker att det är någonting jag fundamentalt missar här.
Det jag gör är att jag sätter y = -1 som startpunkt och stegar från t = -1 till t = 10, gör jag detta så ser min kurva ut så här:

Om jag tolkar det rätt (vilket jag börjar tvivla på att jag gör) så ska jag sätta y(-1) = -1 + något litet tal.. men oavsett om jag ändrar min startpunkt till t.ex. y = -1 + 0.00001 så ser kurvan exakt likadan ut.
Hoppas att frågan går att begripa, tycker själv detta är väldigt rörigt..
Tack på förhand!
Vilket är det största för vilken ?
Calle_K skrev:Vilket är det största för vilken ?
Om jag löser det analytiskt med den funktionen jag fick genom att lösa första uppgiften får jag att x = 0.02 när y = 10-4
Men när jag löser numeriskt och skriver ut alla x när får jag största x = 1.019..