3 svar
93 visningar
ettam1414 34
Postad: 14 maj 2022 10:19

Differentialekvation, origo4 kaptest 3

Hej, jag repetera lite inför NP på måndag och behöver hjälp med ett tal från boken origo4

 

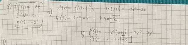
Jag har kommit fram till a) -12 och b) -8 men i facit står det 12 och 8.  Jag har gjort om beräkningarna för att dubbel kolla och fick samma svar. Om det är inte facit som är fel då skulle jag vilja förstå vart jag har gått fel.

Tack på förhand

Mitch

Smaragdalena 78892 – Avstängd
Postad: 14 maj 2022 10:27

Du har skrivit kedjeregeln fel. Om h(x) = g(f(x)) så är h'(x) =g'(f(x)).f'(x). 

ettam1414 34
Postad: 14 maj 2022 11:39
Smaragdalena skrev:

Du har skrivit kedjeregeln fel. Om h(x) = g(f(x)) så är h'(x) =g'(f(x)).f'(x). 

Så här har jag gjort med kedjeregeln nu men det är inte heller rätt

Smaragdalena 78892 – Avstängd
Postad: 14 maj 2022 11:55

Det är meningen att du skall läsa av värdena i grafen.

Oj, jag deriverade h(x) = g(f(x)) men i den här uppgiften hade man definierat h(x) = f(g(x)) så derivatan blir (med uppgiftens beteckningar) h'(x) = f'(g(x)).g(x). Ursäkta att jag krånglade till det!

Svara
Close