1
svar
60
visningar
cfsilver442 behöver inte mer hjälp
Differentialekvation, varför denna def. mängd?
Hej,
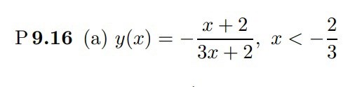
såhär lyder frågan:

och det är a-uppgiften som jag lyckas lösa ut y(x) men förstår ej varför x måste vara mindre än -2/3. Förstår att x inte kan vara lika med -2/3 men varför kan det inte vara större?

Funktionen är definierad för alla .
Däremot kanske det finns restriktioner för diffekvationen (?).
Testa att bestämma y' utifrån lösningen och sätt in y och y' i diffekvationen. Om likheten håller så ska den vara definerad för alla x som funktionen y är definierad för.