Differentialekvationer

If är Integrerade faktor.
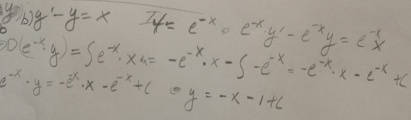
Andra raden gör jag även Partiell integrering. Mig svar är fel, kan nån förklara varför? Tack
På andra raden när du skriver ska det vara då
Kallaskull skrev:På andra raden när du skriver ska det vara då
Men efter integral tecknet ska det vara - e^(-x), du har skrivit + istället i ditt svar på rad 1
PluggPluggPlugg skrev:Kallaskull skrev:På andra raden när du skriver ska det vara då
Men efter integral tecknet ska det vara - e^(-x), du har skrivit + istället i ditt svar på rad 1
Jädrans helt rätt sorry! Okej men då är det bara att du glömde att de vi kommit fram till är att
Kallaskull skrev:PluggPluggPlugg skrev:Kallaskull skrev:På andra raden när du skriver ska det vara då
Men efter integral tecknet ska det vara - e^(-x), du har skrivit + istället i ditt svar på rad 1
Jädrans helt rätt sorry! Okej men då är det bara att du glömde att de vi kommit fram till är att
Tack så mycket