3
svar
111
visningar
Aorta behöver inte mer hjälp
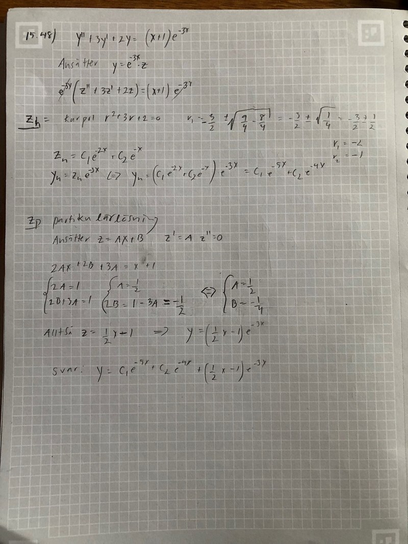
Differentiallösningar, partikulärlösningar
Hej! Jag håller på att lära mig lösa differentialekvationer och är nu på partikulärlösningar. Jag har kört fast på den här uppgiften. Ska jag inte ansätta z när jag ska hitta den homogena lösningen? I så fall varför inte? På partikulärlösningen får jag fel värde på B. Jag har räknat om den flera Gånger man får samma igen så tror jag har blivit blind på siffrorna.



Om y = ze-3x, vad är y' då?
Detta är Månsson Analys 1. Du vet att 15.48 är löst i helhet i problemboken? Eller har de omarbetat materialet?
Det stämmer! Ja, det hade jag missat, tack!