Differentierbar
Jag förstår inte hur de har fått den raden som jag har markerat.

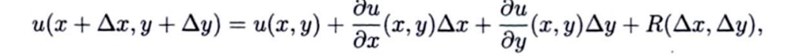
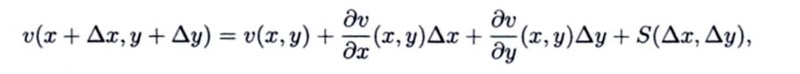
Om en funktion h:
är differentierbar i (x,y) så gäller det att (flervariabelresultat)
h(x+x, y+y)-h(x,y)
Här utvärderas derivatorna i (x, y). r en funktion som är kontinuerlig i (0, 0) och som uppfyller r(0,0) = 0.
Utnyttja detta på funktionerna u och v var för sig och se vad du får.
PATENTERAMERA skrev:Om en funktion h:
är differentierbar i (x,y) så gäller det att (flervariabelresultat)
h(x+x, y+y)-h(x,y)
Här utvärderas derivatorna i (x, y). r en funktion som är kontinuerlig i (0, 0) och som uppfyller r(0,0) = 0.
Utnyttja detta på funktionerna u och v var för sig och se vad du får.
Jag kommit så här lång men vet inte hur jag ska gå vidare



Vet att jag ska använda Cauchy-Riemanns ekvationer i sista steget men det blir samma som de har fått fram. menar sista raden som de har fått.
Ja, utnyttja Cauchy-Riemann för att komma till nästa rad, den under den blåmarkerade raden. Vad är problemet?
PATENTERAMERA skrev:Ja, utnyttja Cauchy-Riemann för att komma till nästa rad, den under den blåmarkerade raden. Vad är problemet?
jag fixade. Hade gjort ett teckenfel, vilket gjorde att jag hade fått fel.