8 svar
326 visningar
Cien behöver inte mer hjälp
Cien 1322
Postad: 17 feb 2023 22:52

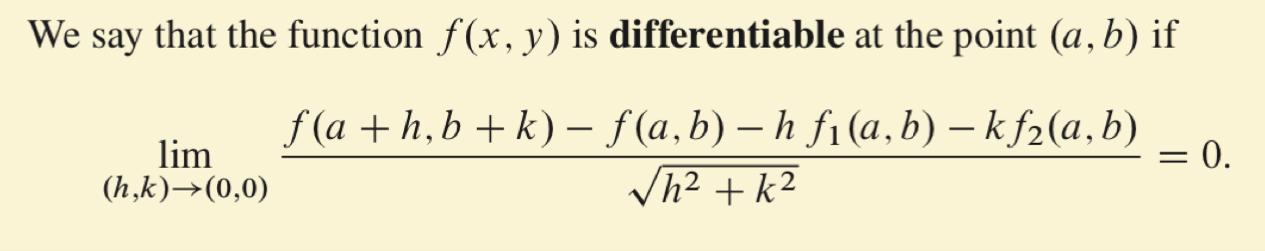
Differentierbar medför kontinuitet?

Om vi har en funktion som är differentierbar i (a,b) varför är den då kontinuerlig i (a,b)? 
Man vet sen tidigare att trots att de partiella derivatorna existerar så betyder det inte nödvändigtvis att funktionen är kontinuerlig. Så varför kan inte fallet vara så nu, dvs att funktionen inte är kontinuerlig men att de partiella derivatorna existerar.

Marilyn 4014
Postad: 17 feb 2023 23:09

Litet ostringent här, men hf1 och kf2 går ju mot noll så f(a+h, b+k) – f(a, b) måste också gå mot noll eftersom nämnaren gör det.

Cien 1322
Postad: 18 feb 2023 00:58 Redigerad: 18 feb 2023 00:58
Mogens skrev:

Litet ostringent här, men hf1 och kf2 går ju mot noll så f(a+h, b+k) – f(a, b) måste också gå mot noll eftersom nämnaren gör det.

00\dfrac{0}{0}?

Marilyn 4014
Postad: 18 feb 2023 05:02

Ja, gränsvärden handlar ofta om att både täljare och nämnare går mot noll, och så studerar man vart kvoten tar vägen. 
Du verkar läsa en kurs i flervariabelanalys, har du inte läst om gränsvärden i en envariabelkurs?

Marilyn 4014
Postad: 18 feb 2023 10:09

T ex 

x2/x 

när x är 0 är kvoten inte definierad. 
när x är skilt från 0 så är kvoten = x som går mot 0 när x går mot 0. Så x2/x går mot 0 när x går 0. 

Men betraktar du x/x så går det mot 1 när x går mot 0. 

Cien 1322
Postad: 18 feb 2023 11:37
Mogens skrev:

T ex 

x2/x 

när x är 0 är kvoten inte definierad. 
när x är skilt från 0 så är kvoten = x som går mot 0 när x går mot 0. Så x2/x går mot 0 när x går 0. 

Men betraktar du x/x så går det mot 1 när x går mot 0. 

Ja det är jag med på. Men du förenklar ju inte uttrycket för differentierbarhet på samma sätt.

D4NIEL 3405
Postad: 18 feb 2023 12:56 Redigerad: 18 feb 2023 13:06

Du har tre olika begrepp i din fråga, och det är väldigt viktigt att inte blanda ihop dem

  • Partiella derivator
  • Differentierbarhet
  • Kontinuerlig

Det gäller att en differentierbar funktion är kontinuerlig.

Det gäller också att en differentierbar funktion är partiellt deriverbar.

Men det gäller INTE en partiellt deriverbar funktion är kontinuerlig. Därmed gäller inte heller att en partiellt deriverbar funktion är differentierbar.

Man säger att differentierbarhet är ett strängare krav än partiell deriverbarhet.

För att ytterligare förvirra läsaren noterar vi följande:

Om de partiella derivatorna 1) existerar och dessutom är 2) kontinuerliga på den öppna definitionsmängden MM för ff så kan man dra slutsatsen att funktionen ff är differentierbar.

Cien 1322
Postad: 18 feb 2023 19:21
D4NIEL skrev:

Du har tre olika begrepp i din fråga, och det är väldigt viktigt att inte blanda ihop dem

  • Partiella derivator
  • Differentierbarhet
  • Kontinuerlig

Det gäller att en differentierbar funktion är kontinuerlig.

Det gäller också att en differentierbar funktion är partiellt deriverbar.

Men det gäller INTE en partiellt deriverbar funktion är kontinuerlig. Därmed gäller inte heller att en partiellt deriverbar funktion är differentierbar.

Man säger att differentierbarhet är ett strängare krav än partiell deriverbarhet.

För att ytterligare förvirra läsaren noterar vi följande:

Om de partiella derivatorna 1) existerar och dessutom är 2) kontinuerliga på den öppna definitionsmängden MM för ff så kan man dra slutsatsen att funktionen ff är differentierbar.

Tack ska du ha för en mycket bra sammanfattning!

Marilyn 4014
Postad: 18 feb 2023 22:30

Ja, bra sammanfattning. 
Tänk dig spetsen av en konformad graf. Funktionen är kontinuerlig men saknar partiella derivator i punkten, 
Tänk dig sedan f(x, y) = 0 överallt utom längs x-axeln och y-axeln där f = 1. Den är inte kontinuerlig i origo men har partiella derivator där. 

Svara
Close