Diffraktion i gitter (interferens)?
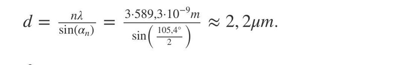
Ett gitter belyses med det gula ljuset från en natriumlampa (λ= 589,3 nm).
Man kan då se 7 ljusstrålar bakom gittret. Vinkeln mellan de två yttersta strålarna uppmättes till 105,4 grader. Samma gitter belyses sedan med ljus av våglängden 435 nm.
Hur många strålar kan man då se?
Jag sitter och försöker förstå frågan ovanför och har kommit en del på vägen men fastnade vid en frågeställning som jag inte riktigt kunde få svar på;
Det är hur diffraktionen hos ljuset i ett gitter breder ut sig för att skapa ett interferensmönster, mer exakt hur man sedan ska hitta vinkeln för den högsta ordningen av interferensmönstret.
Jag läste den här tråden hos pluggakuten och tänkte att informationen skulle hjälpa då jag kan tänka mig att själva diffraktionen hos ljuset når 90 grader men att anta att vinkeln för den högsta ordningen också kommer gå mot 90 grader behöver inte bli rätt för det, speciellt då vinkeln i frågeställningen inte uppnår mer än 52,7 grader (även om frågeställningen skulle kunna vara fullständigt fiktiv).
Överkomplicerar jag det här eller är det något som jag fullständigt missat?
Min uträkning än så länge samt gitterformeln med de notationer jag använt mig av ;
Gitterformeln;
där n är den n;te ordningen, λ är våglängden hos ljuset, d är gitterkonstanten och är vinkeln från symmetrilinjen till den n;te ordningen.
Då vi tar mätdatan från frågeställningen ger detta gitterkonstanten,
.
Du får fram att d ≈ 2.2 μm.
Hur många ordningar får man med denna gitterkonstant och en våglängd på 435 mm?
Jag läste lite mer på det och för mig verkar det vara en kuggfråga.
Min intuition är att våglängden endast påverkar α_n och inte antalet ordningar. Specifikt kommer vinkeln α_n vara mindre i situationen då våglängden är 435nm i jämförelse med när den är 589,3nm (i åtanke till ljusspektrumet).
Nej vänta, jag tror jag tänkte fel.
För att svara på din fråga bör antalet ordningar bli,
.
Så då kommer alltså antalet ordningar inte överstiga 5.
Bra!
But många strålar kommer då att synas?
De maximala antalet strålar vi kan få är då 11st, men det är inte nödvändigtvis så många strålar som kommer synas, eller hur?
Om jag använder denna metod för att hitta hur många synliga strålar som finns för det redan kända exemplet (där n=3). Om vi säger att n och vinkeln här är okända och vi endast har gitterkonstanten och våglängden 589,3nm får vi att,
Om vi tänker oss att man alltid avrundar nedåt så får vi att då vilket skulle fungera med ditt resonemang men när vi sedan har vinkeln får vi i så fall att ; alltså fel svar?
Men om vi däremot nu tänker oss att vi avrundade uppåt till .
Förstår du vad jag menar?
De maximala antalet strålar vi kan få är då 11st, men det är inte nödvändigtvis så många strålar som kommer synas, eller hur?
Om jag använder denna metod för att hitta hur många synliga strålar som finns för det redan kända exemplet (där n=3). Om vi säger att n och vinkeln αnαn här är okända och vi endast har gitterkonstanten d≈2,2μmd≈2,2μmoch våglängden 589,3nm får vi att,
n=2,2μm0,5893μmsin(αn)≈3,7sin(αn), då sin(αn) =1 får vi att n≈4.n=2,2μm0,5893μmsin(αn)≈3,7sin(αn), då sin(αn) =1 får vi att n≈4.
Om vi tänker oss att man alltid avrundar nedåt så får vi att n≈3n≈3 då sin(αn)=1sin(αn)=1 vilket skulle fungera med ditt resonemang men när vi sedan har vinkeln αnαn får vi i så fall att n≈3sin(52,7°)≈2,4≈2n≈3sin(52,7°)≈2,4≈2; alltså fel svar?
Men om vi däremot nu tänker oss att vi avrundade uppåt till n≈4sin(αn)⇒n≈4⋅sin(52,7°)≈3,2≈3n≈4sin(αn)⇒n≈4·sin(52,7°)≈3,2≈3.
Förstår du vad jag menar?
Vänta, jag tror jag förstod mitt misstag.
Bara för att n är ett heltal måste inte kvoten av gitterkonstanten och våglängden vara det.
Men så grejen är alltså att man alltid avrundar nedåt för ett decimaltal?
Ja, du måste avrunda nedåt.
ger
Tack så otroligt mycket för hjälpen Dr. G!
Dootchi skrev:Jag läste lite mer på det och för mig verkar det vara en kuggfråga.
Min intuition är att våglängden endast påverkar α_n och inte antalet ordningar. Specifikt kommer vinkeln α_n vara mindre i situationen då våglängden är 435nm i jämförelse med när den är 589,3nm (i åtanke till ljusspektrumet).
precis vad jag tänkte. är det så att våglängden endast påverkar a_n och inte antalet ordningar?
För kortare våglängder så kan det synas fler ordningar.
Dr. G skrev:ger
Dr. G skrev:Ja, du måste avrunda nedåt.
ger
förstår inte vad du menar? n blir alltså 5? det kan inte stämma?
Dr. G skrev:För kortare våglängder så kan det synas fler ordningar.
Dr. G skrev:ger
"För kortare våglängder så kan det synas fler ordningar." Det vet ju alla som läser fysik. Detta är inte relevant då det är en självklarhet. Detta innebär att din kommentar inte är till någon nytta.
Det jag har kommit fram till är att det inte går att ta reda på hur många strålar som kommer bildas. Det man kan ta reda på är däremot hur många strålar det kommer synas MAX. Så med andra ord går det inte att räkna ut hur många strålar du kommer få (n).
Hoppas denna kommentar hjälper er som har funderat över denna klurirur
rashes skrev:"För kortare våglängder så kan det synas fler ordningar." Det vet ju alla som läser fysik. Detta är inte relevant då det är en självklarhet. Detta innebär att din kommentar inte är till någon nytta.
Självklart eller inte, från din tidigare kommentar
precis vad jag tänkte. är det så att våglängden endast påverkar a_n och inte antalet ordningar?
så verkade du tro att våglängden inte påverkade antalet max som kan ses i ett gitter.
Det blir upp till 2n + 1 strålar. Beroende på gittrets förhållande mellan d och öppningarnas bredd så kan vissa interferensmax släckas av diffraktion, men det ligger nog utanför gymnasiefysiken.
Dr. G skrev:rashes skrev:"För kortare våglängder så kan det synas fler ordningar." Det vet ju alla som läser fysik. Detta är inte relevant då det är en självklarhet. Detta innebär att din kommentar inte är till någon nytta.
Självklart eller inte, från din tidigare kommentar
precis vad jag tänkte. är det så att våglängden endast påverkar a_n och inte antalet ordningar?
så verkade du tro att våglängden inte påverkade antalet max som kan ses i ett gitter.
Det blir upp till 2n + 1 strålar. Beroende på gittrets förhållande mellan d och öppningarnas bredd så kan vissa interferensmax släckas av diffraktion, men det ligger nog utanför gymnasiefysiken.
fel. det är inte 2n+1. Hur kom du fram till det? Som jag tidigare har nämnt går det inte att räkna ut n då vinkeln är okänd. Det man kan konstatera är N-max då man vet att sinus inte kan överstiga 1
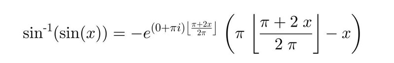
Vinklarna är kända och räknas ut med gitterekvationen (normalt infall antaget),
där n är ett heltal mellan och .
Dr. G skrev:Vinklarna är kända och räknas ut med gitterekvationen (normalt infall antaget),
där n är ett heltal mellan och .
Gör en härledning. Hur kom du fram till denna ekvation. Ser att du inte förstår vad du gör utan bara kopierar.
vad menas med -
Härledning av gitterekvationen för normalt infall kan du hitta i din lärobok eller t.ex här. Du söker de vinklar där ljus från närliggande öppningar har färdats en skillnad på ett helt antal våglängder, så att de ska interferera maximalt konstruktivt. Skillnaden i sträcka ges även av d och sinus för vinkeln, se figur i länk.
Nu gissar jag att man ska dela med d och sedan ta arcsin av båda led för att hamna där jag var i det tidigare inlägget.
Dr. G skrev:Härledning av gitterekvationen för normalt infall kan du hitta i din lärobok eller t.ex här. Du söker de vinklar där ljus från närliggande öppningar har färdats en skillnad på ett helt antal våglängder, så att de ska interferera maximalt konstruktivt. Skillnaden i sträcka ges även av d och sinus för vinkeln, se figur i länk.
Nu gissar jag att man ska dela med d och sedan ta arcsin av båda led för att hamna där jag var i det tidigare inlägget.
jag frågade inte efter en härledning av gittarekvationen. Utan jag frågade hur du kom fram till att . Tror att du fattade det.
Nej, jag fattade inte det. Menar du att du är med på varför gitterekvationen ser ut som den gör, men att arcsin ställer till det?
Dela med d
Ta arcsin av båda led
Förenkla.
Om du istället släpper attityden du har haft i felrtal trådar där du pratar nonsens och läser det Dr. G sagt flertal gånger hade du redan vetat hur du kommer dit..
Randyyy skrev:Om du istället släpper attityden du har haft i felrtal trådar där du pratar nonsens och läser det Dr. G sagt flertal gånger hade du redan vetat hur du kommer dit..
Har du ens läst fysik. Vet du ens vad vi pratar om. Det tvivlar jag på.
Dr. G skrev:Nej, jag fattade inte det. Menar du att du är med på varför gitterekvationen ser ut som den gör, men att arcsin ställer till det?
Dela med d
Ta arcsin av båda led
Förenkla.

Här har du förenklingen för arcsin(sinx)
sin(arcsinx)=x i
rashes skrev:Dr. G skrev:Nej, jag fattade inte det. Menar du att du är med på varför gitterekvationen ser ut som den gör, men att arcsin ställer till det?
Dela med d
Ta arcsin av båda led
Förenkla.
Här har du förenklingen för arcsin(sinx)
sin(arcsinx)=x i
om du tror att arcsin(sinx) är x så har du fel.
men däremot sin(arcsinx) blir x. du kanske blandar mellan de båda
oj, nu tror jag det har blivit lite knas! Sinus och Arcsinus är inverser, det betyder att de är motsatser precis som kvadrater eliminerar kvadratroten till exempel. Du har råkat hamna i komplexa talplanet verkar det som. Du kan läsa om hur det fungerar här.
Dracaena skrev:oj, nu tror jag det har blivit lite knas! Sinus och Arcsinus är inverser, det betyder att de är motsatser precis som kvadrater eliminerar kvadratroten till exempel. Du har råkat hamna i komplexa talplanet verkar det som. Du kan läsa om hur det fungerar här.
Lösning av trigonometriska ekvationer kan jag redan. Tack för länken. Det har inte med det att göra. arcsin(sinx) = 1 påstår Dr G vilket inte stämmer. arcsin(sinx) är inte 1
Det Dr. G har skrivit i tidigare inlägg är att: och förenklar vi, så kommer arcsin och sin att ta ut varandra eftersom de är inverser. då kvarstår vilket stämmer.
ifall vi återvänder till the topic och inte fastnar på avancerad mattematik för mycket kom jag på ett till fel i Dootchis uppställning
där det står sin(105,4/2 -2 är fel det ska vara /3 inte /2 eftersom du har 3e ordningens spektrum
Dracaena skrev:Det Dr. G har skrivit i tidigare inlägg är att: och förenklar vi, så kommer arcsin och sin att ta ut varandra eftersom de är inverser. då kvarstår vilket stämmer.
https://www.youtube.com/watch?v=1DQHWn09hI0
är här en vinkel mellan -90° och 90°. Det framgår tydligt bl.a i figuren på hyperphysics. Därav så är
arcsin(sinx) = 1 påstår Dr G vilket inte stämmer. arcsin(sinx) är inte 1
Ovanstående har jag inte påstått någonstans.
rashes skrev:ifall vi återvänder till the topic och inte fastnar på avancerad mattematik för mycket kom jag på ett till fel i Dootchis uppställning
där det står sin(105,4/2 -2 är fel det ska vara /3 inte /2 eftersom du har 3e ordningens spektrum
Nej, Dootchi har rätt. Rita figur.
Det är 105.4° mellan maximum nummer 3 åt ena hållet och maximum nummer 3 åt andra hållet. (mellan -3 och 3 om man vill).
Vinkeln till maximum nummer 3 är då 105.4°/2 = 52.7°.
rashes skrev:Randyyy skrev:Om du istället släpper attityden du har haft i felrtal trådar där du pratar nonsens och läser det Dr. G sagt flertal gånger hade du redan vetat hur du kommer dit..
Har du ens läst fysik. Vet du ens vad vi pratar om. Det tvivlar jag på.
rashes, du har redan blivit tillsagd för din dåliga ton. Om du fortsätter på det här sättet kommer du att bli avstängd. /moderator
Smaragdalena skrev:rashes skrev:Randyyy skrev:Om du istället släpper attityden du har haft i felrtal trådar där du pratar nonsens och läser det Dr. G sagt flertal gånger hade du redan vetat hur du kommer dit..
Har du ens läst fysik. Vet du ens vad vi pratar om. Det tvivlar jag på.
rashes, du har redan blivit tillsagd för din dåliga ton. Om du fortsätter på det här sättet kommer du att bli avstängd. /moderator
vad menas med dålig ton? hur vet du hur min ton låter när jag skriver? maktmissbruk.
rashes, om du har synpunkter på en moderering, skicka ett PM till någon av oss moderatorer, eller skriv ett inlägg i denna tråd. Diskussioner om modereringar tar plats i tråden och gör tråden svårläst för andra användare. Pluggakutens moderatorer är inga tankeläsare. Våra modereringar utgår från hur inlägget låter, och lär tolkas av andra användare, oavsett vad du menade med ditt inlägg.