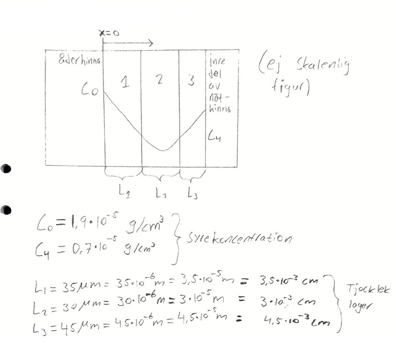
Diffusion och förbrukning av syre i näthinnan.
Hej allesammans! Läser en kurs med fokus på transport fenomen i kroppen. Fick en uppgift om som rör diffusion och förbrukning i näthinnan. Kan hända att denna fråga är placerad i fel forum. Om så är fallet ber jag om ursäkt för det, men diffusion är ett kemiskt fenomen tänkte jag.
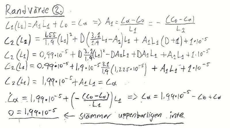
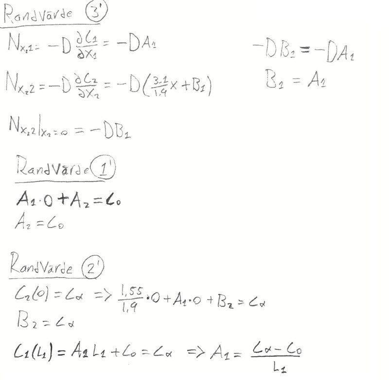
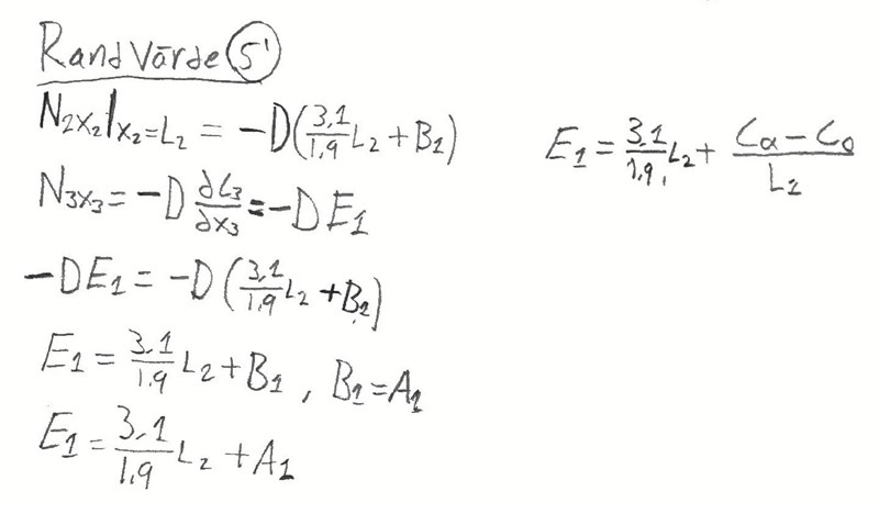
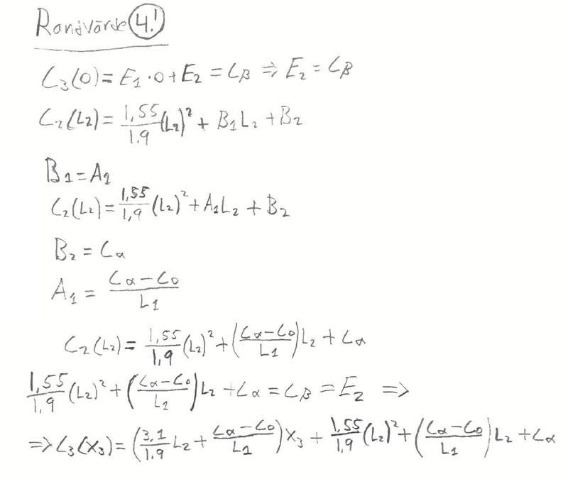
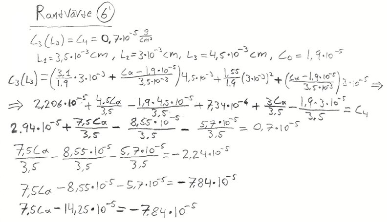
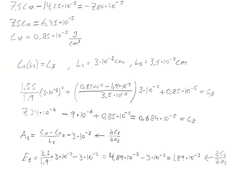
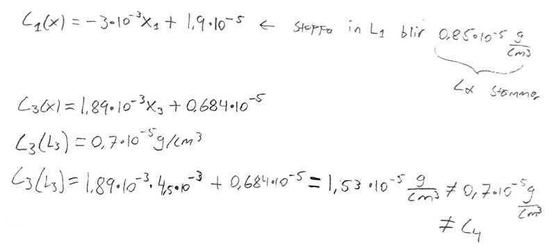
Jag har suttit hela helgen med den här uppgiften och tappa nästan förståndet. Jag bifogar nedan uppgiften och mina två försök att lösa den. Jag försökte bra mycket med än två gånger men de två försöken här under är de som jag kom längst med.
Försöken är scannade hoppas läsligheten är okej. Det är en lång uppgift, ber om ursäkt för det i förväg. 















Efter att ha suttit med uppgiften sen i fredags tänkte jag att det var dags att be om hjälp här. Jag vet inte vart det går
fel här. Om jag gör någon förutsättning som är fel, slår fel på räknaren eller något annat. Jag har ingen tillgång till facit så kan inte kontrollera något.
Om det är någon som har orken att se över vad jag gjort så hade jag varit oerhört tacksam!
Bump