3
svar
183
visningar
Liddas behöver inte mer hjälp
DIH derivatan av en integral
Jag fattar inte vad jag ska göra med -x delen, svaret ska bli -e^x^2 +2x-1.

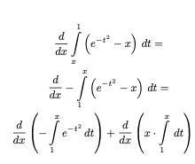
Du är nog på rätt väg. Notera att resonemanget utgår från Integralkalkylens huvudsats: ett beroende "av övre gräns".
Se mina kalkyler nedan:

Kan du fortsätta själv?
Hej tack för svar, jaha jag förstår alla steg du gör här och inser att om jag inte vänder på gränserna får jag ingen övre gräns eftersom derivatan av en konstant är noll, jag borde få rätt svar om jag utgår från din uppställning, även om jag använder mitt tillvägagångssätt! Ska prova!
Hej igen, tack för hjälp, jag trodde inte jag skulle få till uppgiften men till slut så har jag fått rätt svar, och tror att jag är på rätt väg!