dimension och egenvärden av T

a)uppgiften har jag kommit fram till genom definitionen av linjära avbildningar
dock när det kommer till b uppgiften kommer jag fram till genom uträckningen av T(p(x)) =0 att p(x) behöver vara ett tal för att det ska gälla vilket gör att nulldim(T) = 1 men förstår inte hur jag ska få fram rank(T), jag vet att nulldim(T) + rank(T) = n då avbildnings matrisen för T är n x m matris. samt uppgift c vet jag inte hur jag ska starta.
Hur ska jag göra på b respektive c ?
b) Dimensionen av Pn är inte n, utan n+1, vilket betyder att dimensionen av bildrummet blir n+1-1 = n.
c) Mitt förslag är: (Det kan finnas en enklare väg)
Pn har en standardbas
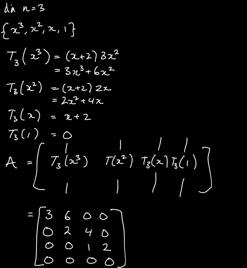
Innan du läser min metod så kan du testa om n=3 (standardbasen är )
Vi kan hitta avbildningsmatrisen genom att se hur standard basen avbildas
Innan du läser min metod så kan du testa att hitta avbildningsmatrisen när n=3 (standardbasen är då )
Detta är en undertriangulär matris (Alla element över diagonalen är 0). Denna matris har egenvärden alla element i diagonalen, dvs n, n-1, n-2, ....,1 och 0.
Mohammad Abdalla skrev:b) Dimensionen av Pn är inte n, utan n+1, vilket betyder att dimensionen av bildrummet blir n+1-1 = n.
c) Mitt förslag är: (Det kan finnas en enklare väg)
Pn har en standardbas
Innan du läser min metod så kan du testa om n=3 (standardbasen är )
Vi kan hitta avbildningsmatrisen genom att se hur standard basen avbildas
Innan du läser min metod så kan du testa att hitta avbildningsmatrisen när n=3 (standardbasen är då )
Detta är en undertriangulär matris (Alla element över diagonalen är 0). Denna matris har egenvärden alla element i diagonalen, dvs n, n-1, n-2, ....,1 och 0.
varför är dimensionen av P = n + 1?
och varför är standard basen den xˆn....... ?
Mohammad Abdalla skrev:b) Dimensionen av Pn är inte n, utan n+1, vilket betyder att dimensionen av bildrummet blir n+1-1 = n.
c) Mitt förslag är: (Det kan finnas en enklare väg)
Pn har en standardbas
Innan du läser min metod så kan du testa om n=3 (standardbasen är )
Vi kan hitta avbildningsmatrisen genom att se hur standard basen avbildas
Innan du läser min metod så kan du testa att hitta avbildningsmatrisen när n=3 (standardbasen är då )
Detta är en undertriangulär matris (Alla element över diagonalen är 0). Denna matris har egenvärden alla element i diagonalen, dvs n, n-1, n-2, ....,1 och 0.
Detta är väl rätt avbildnings matris då n = 3 
Om vi tar ett exempel på p3, alltså alla polynom som har högst grad 3, dvs alla polynom av formen a3x3+a2x2+a1x+a0.
En sån polynom kan skrivas entydigt som en linjär kombination av elementerna i B=
T.ex:
Om vi har polynomet f(x)= -3x3+2x2+1 så kan vi skriva det f(x)=-3e1+2e2+0e3+1e4
Detta betyder att B är en bas i p3 och eftersom B har 4 element i sig så är dimensionen av p3 är 4=(3+1).
Jaghatarfysik skrev:Mohammad Abdalla skrev:b) Dimensionen av Pn är inte n, utan n+1, vilket betyder att dimensionen av bildrummet blir n+1-1 = n.
c) Mitt förslag är: (Det kan finnas en enklare väg)
Pn har en standardbas
Innan du läser min metod så kan du testa om n=3 (standardbasen är )
Vi kan hitta avbildningsmatrisen genom att se hur standard basen avbildas
Innan du läser min metod så kan du testa att hitta avbildningsmatrisen när n=3 (standardbasen är då )
Detta är en undertriangulär matris (Alla element över diagonalen är 0). Denna matris har egenvärden alla element i diagonalen, dvs n, n-1, n-2, ....,1 och 0.
Detta är väl rätt avbildnings matris då n = 3
Du har skrivit koordinaterna som rader inte kolonner.
Mohammad Abdalla skrev:Jaghatarfysik skrev:Mohammad Abdalla skrev:b) Dimensionen av Pn är inte n, utan n+1, vilket betyder att dimensionen av bildrummet blir n+1-1 = n.
c) Mitt förslag är: (Det kan finnas en enklare väg)
Pn har en standardbas
Innan du läser min metod så kan du testa om n=3 (standardbasen är )
Vi kan hitta avbildningsmatrisen genom att se hur standard basen avbildas
Innan du läser min metod så kan du testa att hitta avbildningsmatrisen när n=3 (standardbasen är då )
Detta är en undertriangulär matris (Alla element över diagonalen är 0). Denna matris har egenvärden alla element i diagonalen, dvs n, n-1, n-2, ....,1 och 0.
Detta är väl rätt avbildnings matris då n = 3
Du har skrivit koordinaterna som rader inte kolonner.
varför ska man skriva de som koloner?
Vi tar ett exempel som inte är relaterad till uppgiften:
När (y1, y2, y3)=T(x1, x2, x3)=T(x1e1+ x2e2 +x3e3) är en standardbas
=x1T(e1) + x2T(e2) + x3T(e3) Om vi säger att T(e1)=(a, b, c) , T(e2)=(d, e, f) och T(e3)=(g, h, i)
(y1, y2, y3) = x1(a, b, c)+ x2(d, e, f)+ x3(g, h, i) Du ser här att y1=ax1+dx2+gx3
Detta kan skrivas på matrisform så här:
Så koordinaterna blir kolonner i matrisen inte rader.
Mohammad Abdalla skrev:Vi tar ett exempel som inte är relaterad till uppgiften:
När (y1, y2, y3)=T(x1, x2, x3)=T(x1e1+ x2e2 +x3e3) är en standardbas
=x1T(e1) + x2T(e2) + x3T(e3) Om vi säger att T(e1)=(a, b, c) , T(e2)=(d, e, f) och T(e3)=(g, h, i)
(y1, y2, y3) = x1(a, b, c)+ x2(d, e, f)+ x3(g, h, i) Du ser här att y1=ax1+dx2+gx3
Detta kan skrivas på matrisform så här:
Så koordinaterna blir kolonner i matrisen inte rader.
Så i denna uppgift så är det så att
T(p(x)) = (x^n, x^n-1 ......)A
Alltså att x värden är i rad och inte kolon? Isåfall varför är de i rad och inte koloner, I exemplet du gav fattar jag varför de ska vara så men inte riktigt i denna uppgift fråga😅
Jag visar med ett exempel varför din matris inte stämmer utan transponaten av din matris som stämmer.
Din matris är A=
Låt oss ta f(x)=2x3+5x2+1= 2e1+5e2+0e3+1e4 så f(x) har koordinaterna med avseende på standardbasen.
T(f(x))=(x+2)(6x2+10x)=6x3+22x2+20x=6e1 + 22e2+20e3+0e4 så T(f(x)) har koordinaterna
Om din matris (A) stämmer så måste
A= testa om det stämmer.
Testa annars matrisens transponat.
Slutsats: Koordinaterna skrivs ALLTID som kolonner i avbildningsmatrisen.