8 svar
326 visningar
Cien 1323
Postad: 6 apr 2025 17:27

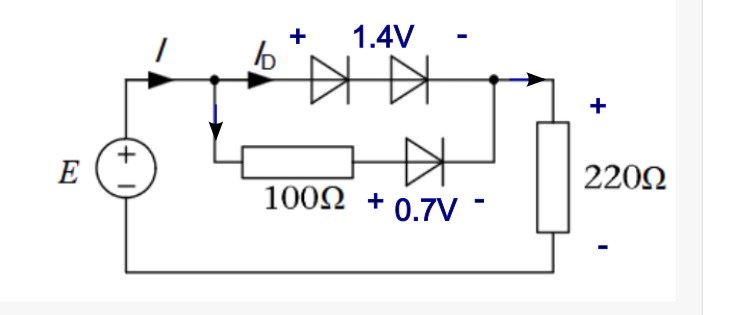
Diod 3

Till uppgiften nedan, när man tar bort D1 och D2 och ritar ut spänningen U, har man då gjort antagandet att D1 och D2 leder och D3 spärrar?

JohanF 6582 – Moderator
Postad: 6 apr 2025 18:06

Jag förstår inte riktigt vad du menar, men att undersöka hur spänningen U ser ut (tex som funktion av huvudströmmen) genom att plocka bort D1 och D2, kan du bara göra så länge de inte påverkar kretsen. Dvs så länge inte U överstiger två framspänningsfall.

Vad är uppgiften?

Cien 1323
Postad: 6 apr 2025 18:15
JohanF skrev:

Jag förstår inte riktigt vad du menar, men att undersöka hur spänningen U ser ut (tex som funktion av huvudströmmen) genom att plocka bort D1 och D2, kan du bara göra så länge de inte påverkar kretsen. Dvs så länge inte U överstiger två framspänningsfall.

Vad är uppgiften?

I tidigare exempel har det alltid tagit bort dioden de vill undersöka (så det blir en öppen krets), och se om spänningen >0.7. Om så är fallet så konstaterar man att den leder, se bild nedan.

Det går inte riktigt och göra på detta sätt till uppgift 7 när vi har flera dioder. Det finns heller inget exempel på hur man löser en sådan uppgift. Jag tillgång till en lösning som är den i bild #1, men de förklarar inte vad som händer. Det verkar som de antar att D3 leder och undersöker vad som då händer med D1 och D2, dvs om spänning över de är >2*0.7 V=1.4 V?

Pieter Kuiper 9458 – Avstängd
Postad: 6 apr 2025 18:19 Redigerad: 6 apr 2025 18:21
Cien skrev:

Jag tillgång till en lösning som är den i bild #1, men de förklarar inte vad som händer. Det verkar som de antar att D3 leder och undersöker vad som då händer med D1 och D2, dvs om spänning över de är >2*0.7 V=1.4 V?

Nej, de antar ingenting, de ger argument: "D3 leder då E > 0,7 V", de förklarar vad som händer.

JohanF 6582 – Moderator
Postad: 6 apr 2025 18:30

Jag skulle nog ha angripit uppgiften på samma sätt som du börjat, dvs att inse att D3 leder när E>0.7V. Alltså leder den i båda deluppgifterna.

Sedan plockat bort D1 och D2 för att se vad U blir i de två deluppgifterna. Om U blir större än två framspänningsfall så vet jag att de leder, annars inte 

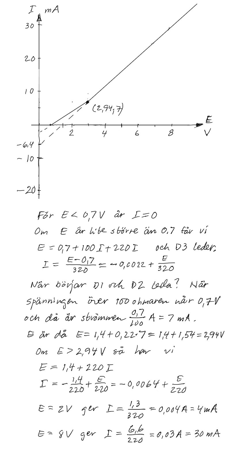
Jan Ragnar 2228
Postad: 7 apr 2025 14:14

ThomasN 2680
Postad: 7 apr 2025 15:42

Prova att med antagandet att alla dioderna leder och sätt ut spänningar och strömmar:

Ger detta ett rimligt resultat?

Cien 1323
Postad: 7 apr 2025 19:29 Redigerad: 7 apr 2025 19:33
ThomasN skrev:

Prova att med antagandet att alla dioderna leder och sätt ut spänningar och strömmar:

Ger detta ett rimligt resultat?

Jag gjorde detta och om jag minns rätt fick jag att i isåfall skulle strömmen I gå i motsatt riktning vilket inte är rimligt.

ThomasN 2680
Postad: 8 apr 2025 00:03

Jag gav ett dåligt exempel, och jag skulle ha läst noggrannare vad du skrev.

Som du helt riktigt skriver så leder D3 om E > 0.7V.
Sen tittar du på hur det ser ut om D1 och D2 inte leder och får helt rätt att spänningen där D1 och D2 skulle vara blir 1.11V. Det innebär att D1 och D2 leder inte (ID =0) och D3 leder.

Sen ser det annorlunda ut när E = 8V. Titta också på Jan Ragnars utmärkta uträkningar.

Svara
Close