diskret matematik
Till en sats muffinssmet (som sedan kan smaksättas på olika sätt) behövs 25 dl
vetemjöl.
Om man som i föregående uppgift är intresserad av hur ”uppskopningarna”
går till så kan antalet sätt på vilka man kan skopa upp n dl mjöl snyggt
beskrivas med en rekursiv talföljd. Ställ upp en följd som ger antalet sätt
att skopa upp n dl mjöl.
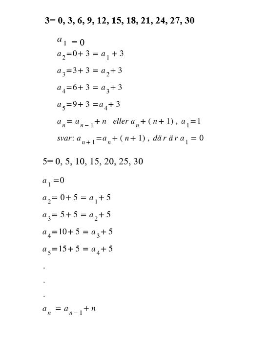
jag har svarat så här,

men jag fick komplettering att Det här verkar inte vara talföljder, utan någon annan form av rekursiv struktur. förklara vad du menar, och varför det blir så här?
Kan ni hjälpa mig med hur jag ska tänka härifrån?
Du får berätta vad det står i den där "föregående uppgift" också, annars förstår man inte uppgiften.
Laguna skrev:Du får berätta vad det står i den där "föregående uppgift" också, annars förstår man inte uppgiften.
Ellinor har åtagit sig att baka till ett födelsedagskalas hos sin virriga kompis.
I kompisens kök finns smaksättning till 4 olika sorters muffins {M1, . . . , M4},
smaksättning till 6 olika sorters glasyr {G1, . . . , G6}, sockerpärlor, en kortlek
där klöver tre och klöver fyra blivit utbytta mot spader fem och spader sex från
en annan kortlek med samma baksida, två tomma förpackningar på 3 och 5 dl
som kan användas som måttskopor, och ett stort trekantigt tårtfat.
menar du den här?!!
Jag känner igen det där, men har du inte mosat ihop två olika uppgifter nu?
Laguna skrev:Jag känner igen det där, men har du inte mosat ihop två olika uppgifter nu?
Ellinor har åtagit sig att baka till ett födelsedagskalas hos sin virriga kompis.
I kompisens kök finns smaksättning till 4 olika sorters muffins {M1, . . . , M4},
smaksättning till 6 olika sorters glasyr {G1, . . . , G6}, sockerpärlor, en kortlek
där klöver tre och klöver fyra blivit utbytta mot spader fem och spader sex från
en annan kortlek med samma baksida, två tomma förpackningar på 3 och 5 dl
som kan användas som måttskopor, och ett stort trekantigt tårtfat.
är argument och informationer till alla uppgifter, och frågan är:
Till en sats muffinssmet (som sedan kan smaksättas på olika sätt) behövs 25 dl
vetemjöl.
Om man som i föregående uppgift är intresserad av hur ”uppskopningarna”
går till så kan antalet sätt på vilka man kan skopa upp n dl mjöl snyggt
beskrivas med en rekursiv talföljd. Ställ upp en följd som ger antalet sätt
att skopa upp n dl mjöl.
Finns det någon förklaring till vad man menar med "antalet sätt på vilka man kan skopa upp n dl mjöl snyggt", kanske i föregående uppgift?
Smaragdalena skrev:Finns det någon förklaring till vad man menar med "antalet sätt på vilka man kan skopa upp n dl mjöl snyggt", kanske i föregående uppgift?
här är förra uppgift:
Då man skopar upp mjölet är det ju inte nödvändigtvis så att man först använder den ena skopan tills man är klar med den, och sedan fortsätter med den andra. Man kan ju växla. På hur många sätt kan de olika skopantalen i uppgift 1 skopas upp1?
och jag har svarat:
5,5,5,5,5 5!/5!0! = 1 sätt
5,5,3,3,3,3,3 7!/2!5! = 21 sätt
a25= 22
och här är uppgift nummer 1:
På vilka sätt kan man få ihop detta kvantitetmjöl med hjälp av de tillgängliga
måttskoporna? (Vi är intresserade av hur många skopor av varje man ska ta.)
Vi har 3dl och 5dl som man kan använda till att får 25 dl vetemjöl
A) 5+5+5+5+5= 25 dl
B) 3+3+3+3+3+5+5= 25 dl