0
svar
57
visningar
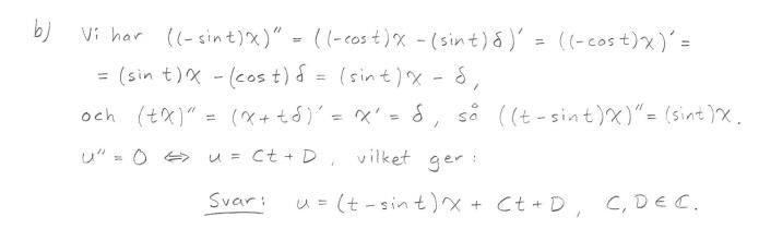
Distributionsderivata baklänges
Förstår inte hur man ska lösa en sån här uppgift. Han börjar ju med att veta svaret?

