Divergens eller Stokes?
Vilken sats bör man använda här? Infogar även mitt försök...(Har inte facit).


Du hade en tidigare uppgift där du räknade ut flödet av samma fält genom en sfär. Gå tillbaka till den uppgiften och kolla vad du gjorde där.
Då skrev jag något i stil med att fältet är divergensfritt, förutom i origo.
Gauss sats kan användas för att lösa problemet, men då får du på något lämpligt sätt utesluta origo.
Dr. G skrev:Du hade en tidigare uppgift där du räknade ut flödet av samma fält genom en sfär. Gå tillbaka till den uppgiften och kolla vad du gjorde där.
Då skrev jag något i stil med att fältet är divergensfritt, förutom i origo.
Gauss sats kan användas för att lösa problemet, men då får du på något lämpligt sätt utesluta origo.
Uppgiften finns med i inlägget :)
Och ja, jag försökte utgå från samma metod som det där inlägget och kom fram så långt som jag kom.
Tricket är att flödet ut genom en sfär med centrum i origo blir enkelt att beräkna.
Lägg en tillräckligt liten sfär helt innanför din yta (kuben).
Flödet genom sfären kan du räkna ut. Nettoflödet in och ut i den slutna volymen mellan sfär och kubens sidor kan du få ut med divergenssatsen. Börja så, så löser det sig nog.
Jag förstod inte riktigt, ska jag utgå från att det är en sfär i kuben och räkna ut flödet? Ok det fixar jag nog. Men vad menar du att jag gör sen?
Kan du beräkna divergensen av fältet?
(Jag har redan sagt att divergensen är 0 överallt, utom i origo, men det bör du bekräfta, jag kan ju hitta på.)
Grejen är den att ytans (kubens) form inte spelar någon roll. Du kan alltid peta in en sfär mellan origo och ytan (om inte ytan skär origo) och bilda en sluten volym där fältet är divergensfritt. I en sådan volym gäller flöde in = flöde ut (inga källor i volymen. Fältet är deriverbart överallt i volymen, så Gauss sats gäller).
Flöde in beräknar du lätt med sfärytan och då får du även flöde ut (vilket är vad som söks).
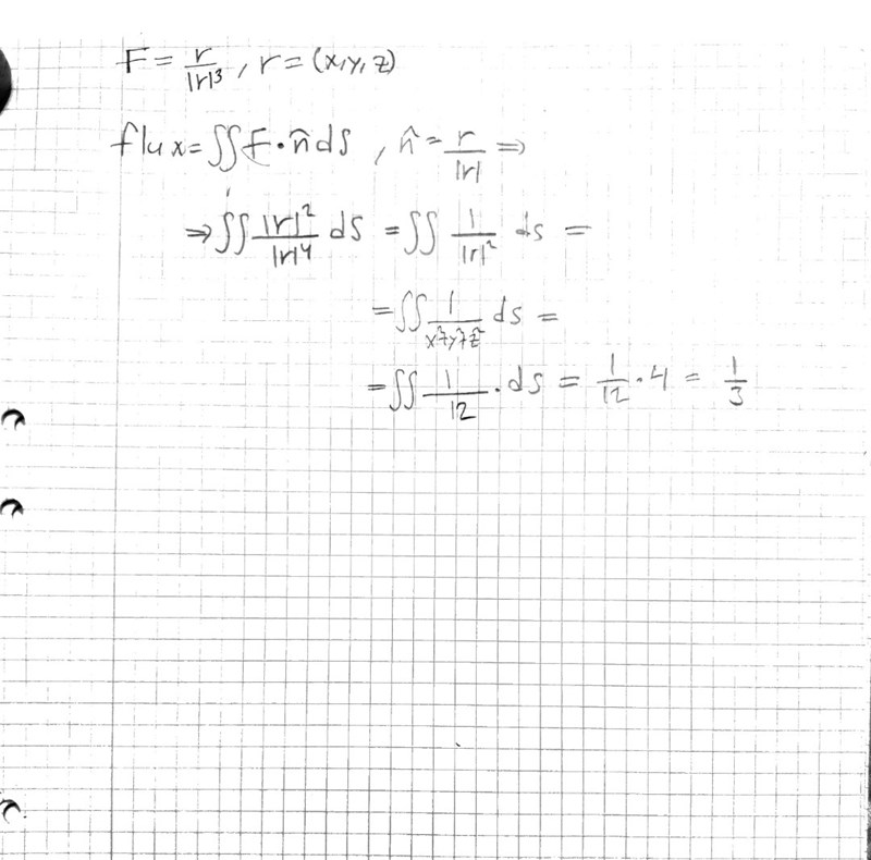
Jag får det till , Jag utgår från näst sista raden och byter ut med som är (radien på sfären). kan det stämma?
Dr. G skrev:(Jag har redan sagt att divergensen är 0 överallt, utom i origo, men det bör du bekräfta, jag kan ju hitta på.)
Förlåt men jag måste bara skriva att jag gapskrattade när jag läste detta. Tanken på att du sitter och hittar på saker var bara för rolig.
Soderstrom skrev:Jag får det till , Jag utgår från näst sista raden och byter ut med som är (radien på sfären). kan det stämma?
Ja, flödet ut från sfären är 4pi.
Då är flödet i i volymen mellan sfär och kub 4pi.
Eftersom divergensen är 0 (eller hur?) i volymen mellan sfär och kub så flödar det ut (genom kuben) lika mycket som det flödar in (genom sfären). Alltså är din sökta flödesintegral ...
Dr. GJa, flödet ut från sfären är 4pi.
Då är flödet i i volymen mellan sfär och kub 4pi.
Ok!
Eftersom divergensen är 0 (eller hur?) i volymen mellan sfär och kub så flödar det ut (genom kuben) lika mycket som det flödar in (genom sfären).
Divergensen är 0, på grund av symmetrin? Eller räknar du bara ?
Alltså är din sökta flödesintegral ...
? 😳
Beräkna divergensen! (Smidigast i sfäriska koordinater.)
Dr. G skrev:Beräkna divergensen! (Smidigast i sfäriska koordinater.)
Ja, jag har räknat ut det, jag får ett bråk med 0 i täljaren efter faktorisering mm. Med xyz, inte med rymdpolära koordinater. Men är svaret ?
Svaret på integralen i frågan är 4pi.
Det blir 4pi oberoende av ytans form, så länge origo är helt innesluten.
Vad blir flödet genom en av kubens sidor?
Dr. G skrev:Svaret på integralen i frågan är 4pi.
Det blir 4pi oberoende av ytans form, så länge origo är helt innesluten.
Vad blir flödet genom en av kubens sidor?
?
Ja, precis. Av symmetriskäl så måste det gå lika mycket genom varje sida.
Okej tack! men jag förstår fortfarande inte varför vi måste räkna ut flödet genom en enda sida. Och varför origo är innesluten. Hur påverkar origo?
Beräknade du faktiskt flödet genom en sida eller delade du bara 4π med 6?
Ebola skrev:Beräknade du faktiskt flödet genom en sida eller delade du bara 4π med 6?
Delade med 6
Soderstrom skrev:Okej tack! men jag förstår fortfarande inte varför vi måste räkna ut flödet genom en enda sida. Och varför origo är innesluten. Hur påverkar origo?
(Det var bara en bonusfråga och behövs inte för att lösa uppgiften. Att integrera i kartesiska koordinater kan bli lite bökigt, medan användning av symmetri gör att man kan "inse" att det blir 4pi/6.)
Om origo inte är innesluten i ytan så kommer integralen all bli 0. Divergensen är då 0 i hela volymen (eller hur?). Gauss sats (divergenssatsen) kan användas (då fältet är deriberbart i volymen), så nettoflödet genom den omslutande ytan blir 0.
I origo är divergensen inte 0. När du deriverade så skulle du där få något på form "0/0".
Så rätt svar är och inget annat?
Det frågas väl efter flödet ut ur hela kuben, så ?