2
svar
141
visningar
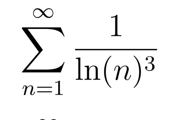
Divergent eller konvergent?
Hur är denna divergent? Jag använder jämförelsesatsen och jämför med 1 genom n kubik och får att den ska vara konvergent?

Är den verkligen divergent? Har du facit?
Hur använder du jämförelsesatsen?