4
svar
187
visningar
Jaghatarfysik behöver inte mer hjälp
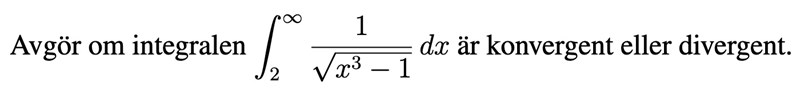
divergent eller konvergent generaliserad integral

jag kan inte komma på en funktion som är större än
Blir funktionen större eller mindre om du tar bort -1:an?
D4NIEL skrev:Blir funktionen större eller mindre om du tar bort -1:an?
mindre
Du kan jämföra med funktionen .
Visa spoiler

Integralens numeriska värde är c. 1.42753 och π/2 = c. 1.5708 varför uppskattningen är relativt bra.