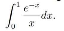
divergent / konvergent (envariabelanalys)


jag fick lära mig att lösa den första genom att bryta ut e^-x då den inte är noll eller oändlig i angivet intervall vilket medförde att hela integralen var divergent då 1/x är divergent i angivet intervall
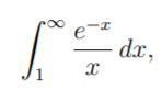
på den andra kunde jag inte göra på det sättet då intervallet är oändligt så jag hittade en annan sats där jag kunde ta gränsvärdet för kvoten mellan f(x) och g(x) där 0 <= f(x) <= g(x)
så jag använde att 1 /xe^x < 1/e^x och då tog lim x -> oändlighet f(x) / g(x) = lim x -> oänd. 1 / x = 0 och villkoret för detta verktyg var att det skulle vara < 0 så denna blev då divergent men svaret står konvergent så blev genast förvirrad igen
vad är fel här då?
Har du börjat med att ritat upp integranden, så att du kan se vad som händer?
Smaragdalena skrev:Har du börjat med att ritat upp integranden, så att du kan se vad som händer?
nej
Gör det då.
Smaragdalena skrev:Gör det då.
nej tack.
Har någon annat tips förutom att rita?
Jag tror du blandar ihop 2 olika metoder nu. När du har sagt att 1/xe<1/e behöver du inte räkna ut någon kvot, det hade du kunnat göra istället men tror det blir jobbigare här. Fortsätt bara att integrera 1/e^x och se om det blir ändligt eller inte.
Micimacko skrev:Jag tror du blandar ihop 2 olika metoder nu. När du har sagt att 1/xe<1/e behöver du inte räkna ut någon kvot, det hade du kunnat göra istället men tror det blir jobbigare här. Fortsätt bara att integrera 1/e^x och se om det blir ändligt eller inte.
Jaha okej! ja jag testade med den större och såg att den konvergerade vilket gick betydligt snabbare! förstår dock inte varför kvot satsen inte funkade men jag lämnar det för det verkar gå lika enkelt att bara hitta en större som konvergerar i denna uppgift
tusen tack!
Hej,
Det gäller att då vilket låter dig skriva
Ett annat sätt är att se att när x>1 så har vi e^(-x)/x<e^(-x)/1. Den senare integralen är lätt att beräkna och se att den konvergerar.