Dividera med roten ur x
Hej!
Har precis börjat plugga matte igen efter många många års uppehåll, och har fastnat pinsamt tidigt får jag erkänna! Jag minns inte detaljerna från den föregående kursen, och gissar att det är där problemet ligger.
Uppgiften är:
Förenkla 6 roten ur x, dividerat med 2x.
Jag har facit och vet vad svaret är men har inte den blekaste om hur jag kommer dit. Jag vet att roten ur x = x^0.5, och att roten ur x multiplicerat med roten ur x är = x.
Den spontana tanken är att flytta bort 2x genom att dividera 6 med 2, och ta x^0.5-1, vilket skulle ge svaret 3x^-0.5
Detta är dock inte rätt svar, utan rätt svar är 3 dividerat med x^0.5. Jag förstår inte alls varför det blir så, är det någon som har lite guidning? Känns som att jag missat kapitlet om att dividera med x rent allmänt, division har alltid varit min svaghet... 😐
Du har alltså kommit fram till samma svar som Facit, sen tycker jag det är en smaksak vilket av de två lösningarna som är mest förenklad.
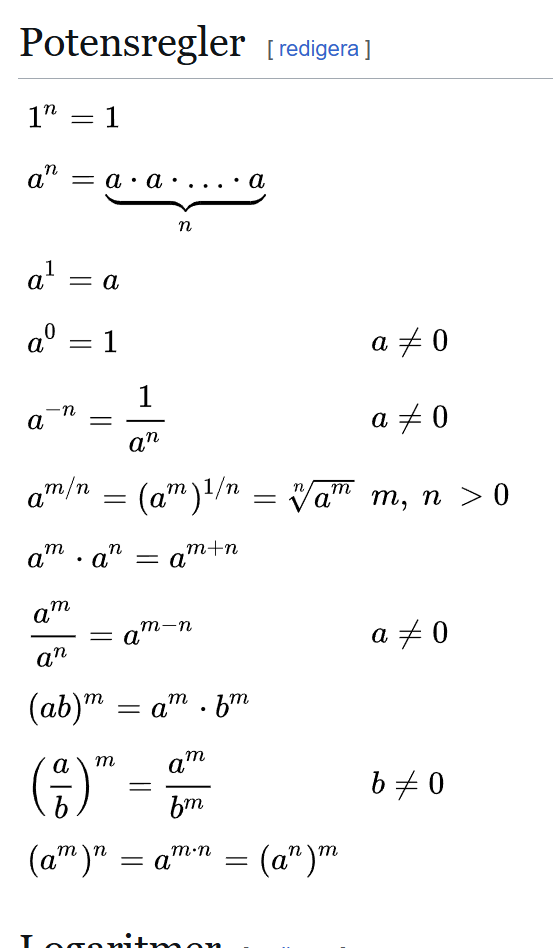
Räkneregler för potenser är bra (läs: nödvändigt) att kunna utantill
regeln på rad 5 är den som du kan använda i den här uppgiften
