1
svar
78
visningar
Marcus N behöver inte mer hjälp
Divisionsalgorithm

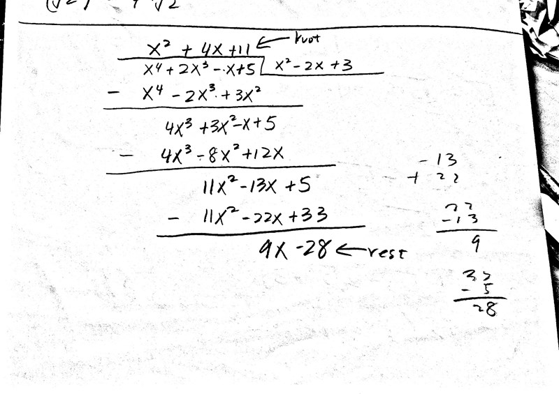
Ja behöver hjälp med frågan nummer 2 i bilden.
Här är min egen försök: 
Du har ett fel på första subtraktionen, du får +3x2 men det är faktiskt -3x2.