9 svar
165 visningar
dajamanté behöver inte mer hjälp
dajamanté 5139 – Fd. Medlem
Postad: 2 jan 2018 07:27

Djupt förträngda kunskaper 3

 Dubbel fråga om formelsamling:

 

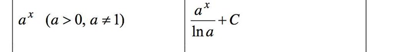
1. I matte 4 formelsamling står detta:

Jag kommer inte ihåg hur det fungerar. Är det därför ax a^{x} deriveras som k*lna* ax a^{x} ?

2. I min ny formelsamling står detta:

xa deriveras som 1a+1xa+1+C, med a-1.

Den finns inte i matte 5 formelsamling. Hur kommer vi fram till detta?

Korra 3891
Postad: 2 jan 2018 07:38 Redigerad: 2 jan 2018 07:41
dajamanté skrev :

 

Jag kommer inte ihåg hur det fungerar. Är det därför ax a^{x} deriveras som k*lna* ax a^{x} ?

 

Om du är tveksam på en primitiv funktion så kan du bara testa att derivera den, ja det stämmer. 

y=axlna+Cy'=ax  Och ja, i detta fallet så är konstanten k=1

Jag tror att man har kommit fram till detta genom partiell integration

tomast80 4299
Postad: 2 jan 2018 08:00

Följande gäller:

Error converting from LaTeX to MathML

a+1a+1xa=xa \frac{a+1}{a+1}x^a = x^a

Det andra uttrycket löser man genom att skriva om det med bas e e :

ddx(axlna+C)= \frac{d}{dx}(\frac{a^x}{\ln a} + C) =

Error converting from LaTeX to MathML

lnalnaexlna=ax \frac{\ln a}{\ln a}e^{x\ln a} = a^x

tomast80 4299
Postad: 2 jan 2018 08:01

Ursäkta problemen med LaTex. Är hopplöst att skriva på mobilen där det inte finns förhandsgranskning. Hoppas det gick att förstå ändå.

dajamanté 5139 – Fd. Medlem
Postad: 2 jan 2018 08:02

Neeeej @tomast, dina belysande insikter har försvunnit i en Error converting from LaTeX to MathML vortex.

dajamanté 5139 – Fd. Medlem
Postad: 2 jan 2018 08:04

 Ahhh just det du menar att (a+1) är bara en k faktor som ska ner?

Bubo 8180
Postad: 2 jan 2018 08:12 Redigerad: 2 jan 2018 08:12

Rätt tänkt, fast tvärtom! :-)

 Derivatan av (1/(a+1))*x^(a+1) + C blir x^a

...och motsvarande på den andra funktionen. Derivatan av C är noll, och så får man mycket riktigt fram en faktor ln(a) som förkortas bort.

 

EDIT: Alldeles för sen...

dajamanté 5139 – Fd. Medlem
Postad: 2 jan 2018 08:47 Redigerad: 2 jan 2018 10:12

Nä men jag är med nu. De skriver ddx xn x^{n} = nxn-1 nx^{n-1} på en stiligt sätt bara.

Yngve 42868
Postad: 2 jan 2018 10:06
dajamanté skrev :

Nä men jag är med nu. De skriver xn x^{n} = nxn-1 nx^{n-1} på en stiligt sätt bara.

Gaaaah Daja!

Mina ögon och mitt hjärta blöder när du skriver så.

Peta in ett ddx \frac{d}{dx} i vänsterledet så blir jag nöjd.

dajamanté 5139 – Fd. Medlem
Postad: 2 jan 2018 10:13

Jag håller med, det var ful. Nu är det fixat!

Svara
Close