Dra bort eller inte dra bort "bottnet" i Gauss satsen.
jag vet, jag vet.. Jag har lagt upp dessa en gång förut. Men stötte på ett nytt problem nu när jag repeterar.

kontra

Varför i bild 2 drar man bort på slutet (blåmarkerade) men inte i det första. De ser ju likadana ut?
Det ena är en halvsfär och det andra en cylinder. Missförstår jag din fråga?
Standardfråga 1a: Har du ritat?
Det mesta klarnar om man lyckas rita upp det (och det är inte alltid så enkelt på universitetsnivå, det skall erkännas). Du behöver lära dig att känna igen cirklar, sfärer, ellipser, ellipsoider, cylindrar och säkert några figurer till, även när de är beskrivna med sina ekvationer.
Läsförståelse är en av de grundläggande nödvändiga färdigheterna för framgångsrika studier i matematik.
Ser inte alls det konstiga i frågan, han är ju jättetydlig? (Om inte jag fattar helfel nu). För att använda gauss sats vill man ha en stängd figur. Både halvsfären och paraboloiden? (Får det inte till en cylinder?) behöver läggas till ett ”lock” för att få det, som de kallar för Y1 i de här uppgifterna. Flödet genom locket borde ju dras bort från flödet genom hela för att få genom önskad bit av figuren. Men det verkar missas i en av lösningarna.
Har tyvärr inget svar på varför, jag tycker också det borde göras i båda..
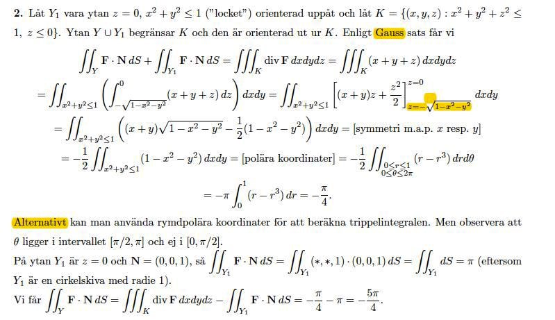
Uppgift 2.
Det återstår att beräkna dubbelintegralen och du har valt att inte visa oss denna beräkning av någon anledning.
Uppgift 3.
De beräknar dubbelintegralen vilket ger det sökta svaret
Laguna skrev:Det ena är en halvsfär och det andra en cylinder. Missförstår jag din fråga?
Jag läste slarvigt, det är en paraboloid och ingen cylinder.
Fel i facit alltså, spännande 👏 De ser man inte ofta längre 🤪
Laguna skrev:Det ena är en halvsfär och det andra en cylinder. Missförstår jag din fråga?
Nä det är väl en halvsfär och en glasstrut
Smaragdalena skrev:Standardfråga 1a: Har du ritat?
Det mesta klarnar om man lyckas rita upp det (och det är inte alltid så enkelt på universitetsnivå, det skall erkännas). Du behöver lära dig att känna igen cirklar, sfärer, ellipser, ellipsoider, cylindrar och säkert några figurer till, även när de är beskrivna med sina ekvationer.
Läsförståelse är en av de grundläggande nödvändiga färdigheterna för framgångsrika studier i matematik.


Men ändock, så hos sfärer så ska man inte dra bort.
Men hos glasstrutar (tappat ordet) ska man dra bort.
Albiki skrev:Uppgift 2.
Det återstår att beräkna dubbelintegralen och du har valt att inte visa oss denna beräkning av någon anledning.
Uppgift 3.
De beräknar dubbelintegralen vilket ger det sökta svaret
Här är fortsättningen på första bilden.

Men på bild nr 2 går vi ju också över till rymdpolära då drar man av. Men i första (hos sfären, där vi använder polära koordinater drar vi ju inte av) men hos den andra när vi använder polära koordinater så drar vi inte av.
Försöker bara se skillnaden. Just bara för att det är..
- En glasstrut och använder polära, drar vi av.
- När det är en sfär och använder polära, drar vi inte av.
För båda två kommer ju ändå ha ett lock/botten.
Eller? För jag resonerar på samma sätt som Micimacko sa ovan.
"Ser inte alls det konstiga i frågan, han är ju jättetydlig? (Om inte jag fattar helfel nu). För att använda gauss sats vill man ha en stängd figur. Både halvsfären och paraboloiden? (Får det inte till en cylinder?) behöver läggas till ett ”lock” för att få det, som de kallar för Y1 i de här uppgifterna. Flödet genom locket borde ju dras bort från flödet genom hela för att få genom önskad bit av figuren. Men det verkar missas i en av lösningarna.
Har tyvärr inget svar på varför, jag tycker också det borde göras i båda.."
Du kan inte kalla en paraboloid för glasstrut, det brukar ju vara en kon. 😝 (den är rundad i botten ju)
Men albiki skrev det jag misstänkte, det är ingen skillnad mellan uppgifterna, utan antingen fel eller otydligt i facit. Locket ska dras bort i båda fall om du använder gauss.
Du måste kolla på figuren du har. Om du har en figur som båda de här, där en bit saknas för att du ska få en sluten volym, så måste du lägga på lock, och sen dra bort det. Det har inget att göra med om du byter till polära koordinater. (Som du typ alltid gör när det handlar om någonting runt.)
Nu har jag läst nya facitbiten du lade ut. De menar självklart att man kan räkna ut hela med olika koordinater, men raden när man drar bort locket måste göras oavsett. Du ser att de får ett annat svar där nere? Det är aldrig ett bra tecken att få olika svar beroende på metod 😂
Micimacko skrev:Du kan inte kalla en paraboloid för glasstrut, det brukar ju vara en kon. 😝 (den är rundad i botten ju)
Men albiki skrev det jag misstänkte, det är ingen skillnad mellan uppgifterna, utan antingen fel eller otydligt i facit. Locket ska dras bort i båda fall om du använder gauss.
Du måste kolla på figuren du har. Om du har en figur som båda de här, där en bit saknas för att du ska få en sluten volym, så måste du lägga på lock, och sen dra bort det. Det har inget att göra med om du byter till polära koordinater. (Som du typ alltid gör när det handlar om någonting runt.)
Pfff.. nytt ord då: fruktskål ;)
Okej men vad skönt. Höll på bli galen på den här uppgiften, och minst sagt när jag försökte jämföra dom.
Micimacko skrev:Nu har jag läst nya facitbiten du lade ut. De menar självklart att man kan räkna ut hela med olika koordinater, men raden när man drar bort locket måste göras oavsett. Du ser att de får ett annat svar där nere? Det är aldrig ett bra tecken att få olika svar beroende på metod 😂
Sååå... fel i facit
mrlill_ludde skrev:Micimacko skrev:Nu har jag läst nya facitbiten du lade ut. De menar självklart att man kan räkna ut hela med olika koordinater, men raden när man drar bort locket måste göras oavsett. Du ser att de får ett annat svar där nere? Det är aldrig ett bra tecken att få olika svar beroende på metod 😂
Sååå... fel i facit
Nej, det är inte fel i facit; det är du som inte läser facit ordentligt. På Uppgift 2 får de att summan av locket och den sökta integralen är -pi fjärdedelar och att locket är lika med pi, så den sökta integralen är lika med -pi fjärdelar minus pi. Hela denna tråd baseras på att du inte läste av facit ordentligt och att du undanhöll den viktiga beräkningen av locket i Uppgift 2.
Albiki skrev:mrlill_ludde skrev:Micimacko skrev:Nu har jag läst nya facitbiten du lade ut. De menar självklart att man kan räkna ut hela med olika koordinater, men raden när man drar bort locket måste göras oavsett. Du ser att de får ett annat svar där nere? Det är aldrig ett bra tecken att få olika svar beroende på metod 😂
Sååå... fel i facit
Nej, det är inte fel i facit; det är du som inte läser facit ordentligt. På Uppgift 2 får de att summan av locket och den sökta integralen är -pi fjärdedelar och att locket är lika med pi, så den sökta integralen är lika med -pi fjärdelar minus pi. Hela denna tråd baseras på att du inte läste av facit ordentligt och att du undanhöll den viktiga beräkningen av locket i Uppgift 2.
Hmm hänger inte med... för

Här är ju svaret bara -pi/4
Men kör man det andra alternativet blev det ju -pi/4 -pi

För -pi/4 =! -5pi/4. jag tycker ju oavsett metod så bör ju det bli lika?:$
Kolla vad de räknar ut. I den övre biten räknar de ut att
(detta är inte svaret på uppgiften!)
medans i den nedre biten räknar de ut:
vilket är svaret på uppgiften.
Det som jag tror du blir lurad av är att det står 'Alternativt'. Det avser inte allt som följer utan enbart det stycket. Det enda som är den alternativa metoden är:

Det som är utanför den röda rutan görs i båda metoder.
AlvinB skrev:Kolla vad de räknar ut. I den övre biten räknar de ut att
(detta är inte svaret på uppgiften!)
medans i den nedre biten räknar de ut:
vilket är svaret på uppgiften.
Det som jag tror du blir lurad av är att det står 'Alternativt'. Det avser inte allt som följer utan enbart det stycket. Det enda som är den alternativa metoden är:
Det som är utanför den röda rutan görs i båda metoder.
JAHAAAA..... hahahaha...
AlvinB skrev:Kolla vad de räknar ut. I den övre biten räknar de ut att
(detta är inte svaret på uppgiften!)
medans i den nedre biten räknar de ut:
vilket är svaret på uppgiften.
Det som jag tror du blir lurad av är att det står 'Alternativt'. Det avser inte allt som följer utan enbart det stycket. Det enda som är den alternativa metoden är:
Det som är utanför den röda rutan görs i båda metoder.
Men en fråga till..
Var ser man att man att de drar bort här? :S
Var ser man att man att de drar bort här? :S
På de fyra nedersta raderna. Integralen över cirkelskivan har värdet 0. Det är andra gången i den här tråden du misslyckas med att tolka facit korrekt, båda gångerna på exakt samma sätt.