3
svar
91
visningar
du = ?
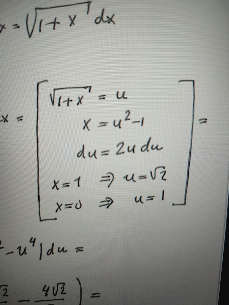
Hej! Jag försöker lösa en fråga från en gammal tenta men förstår inte varför derivatan av √1+x) bli som den blir? Så hör ser facit ut:

Jag tror att de menar dx i VL på rad 3.
Högerledet, , måste deriveras med kedjeregeln: . f är i detta fall upphöjt till två-delen, som då deriveras till , och inrederivatan, g, är derivatan av u, vilket är . :)
Ah okej tack!:)
Det var så lite så! :)