Dubbelintegral
Uppgift (b)

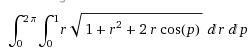
Jag har ritat området D och det blir en cirkel med radie 1 med origo i (1,0). Jag försökte lösa uppgiften med polära koordinater men då kom jag till integralen 
som ger rätt svar om jag matar in det i en räknare men jag vet inte hur jag ska lösa den för hand. Försökte även att skriva om mitt område D till och därifrån göra något linjärt byte men det blev inte heller bra när jag försökte... Uppskattar all hjälp jag kan få :)
(Du menar med centrum i (1,0). Origo är (0,0).) Du har börjat med variabelbytet x-1=u men det behövs inte. Du kan använda polära koordinater direkt och då blir ju integranden superenkel. Området blir också enkelt. Nu går vinkeln mellan -pi/2 och pi/2 ovh r går mellan 0 och ...
Ja självklart menade jag centrum i (1,0), sorry.
Hmm, förstår inte riktigt vad du menar med att direkt gå till polära koordinater i detta fallet? Det jag gjorde var att skriva D som och sen använder jag mig av polära koordinater, alltså där . Detta blir ju ett enkelt område men jag får den krångliga integralen att jobba med som jag skrev i mitt första inlägg.
Menar du att jag ska struna i -1, alltså ? Detta ger ju mig området som jag inte riktigt förstår hur jag ska använda mig av?
Du kan uttrycka cirkeln med centrum i (1,0) och radie 1 på polär form, d.v.s radien som funktion av vinkeln från origo
r = f(v)
där f är en funktion (som du nu ska hitta).
Som jag skrev går r mellan 0 och just det du fick fram, alltså 2 cos(fi).
Löste uppgiften, ser att jag krånglade till det nu i efterhand. Tack!