2
svar
111
visningar
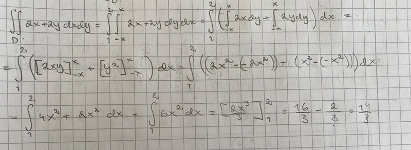
Dubbelintegral
Något blev jättegalet här. Svaret ska tydligen bli 28/3 men förstår inte hur. Har gjort om den ett par gånger, men får samma svar hela tiden…

[y2]x-x = x2 - (-x)2 = 0.