dubbelintegral
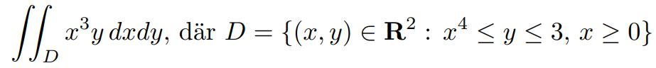
Jag har uppgiften:

jag ritar upp området och ser gränserna:
. Men när jag räknar ut denna får jag det till när det ska bli ( jag får samma svar när jag löser den online också) så jag antar att gränserna är fel. Men jag förstår inte hur de är fel
Visa hur du räknar så kan vi hjälpa dig att hitta felet.
Du har dels gjort fel på gränserna, jag tror du får förklara lite hur du tänkt där.
Men sedan, även givet gränserna, så har något ytterligare gått fel, svaret kan inte innehålla x.
För att utveckla lite om gränserna:
Du verkar tänka att y går från 0 till x^4. Men det är bakvänt, i området är y större än x^4.
Och du verkar tänka att x går från 0 till 3. Men om x är 3 kan vi inte ha x^4<3.
Smutsmunnen skrev:För att utveckla lite om gränserna:
Du verkar tänka att y går från 0 till x^4. Men det är bakvänt, i området är y större än x^4.
Och du verkar tänka att x går från 0 till 3. Men om x är 3 kan vi inte ha x^4<3.
okej, så gränserna ska vara y från x^4 till 3 och x från 0 till
Japp
Hur ser ditt område ut? Lägg upp din bild här!
jonte12 skrev:
okej, så gränserna ska vara y från x^4 till 3 och x från 0 till
Jag upprepar det Smaragdalena skriver, du behöver göra en skiss över området för att lättare kunna förstå hur både integrander och integrationsgränser bör se it