dubbelintegral
Jag undrar hur jag ska börja när jag ska lösa integralen. Jag vet inte hur jag ska hitta en primitiv funktion till . 
Börja med att rita! Lägg upp bilden här. Det kanske blir enkelt tack vare symmetri (jag vet inte, jag har inte ritat).
Smaragdalena skrev:Börja med att rita! Lägg upp bilden här. Det kanske blir enkelt tack vare symmetri (jag vet inte, jag har inte ritat).

Här är .
Vad är det du har ritat?Är det området du integrerar över?
Var är ? Hur ser den funktionen ut?
Smaragdalena skrev:Vad är det du har ritat?Är det området du integrerar över?
Var är ? Hur ser den funktionen ut?
Här är funktionen:

Lägg upp frågan, den första intrgrslen saknar en elemnr primitiv funktion (om jag intr tänker fel).
Dracaena skrev:Lägg upp frågan, den första intrgrslen saknar en elemnr primitiv funktion (om jag intr tänker fel).

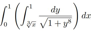
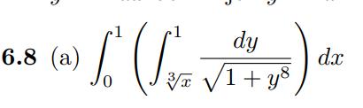
Och i uppgiften anges inget annat än detta:
