4
svar
159
visningar
jonte12 behöver inte mer hjälp
Dubbelintegral
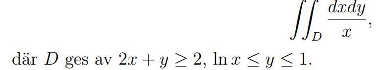
Jag ska lösa dubbelintegralen:

Hur ska jag göra det? Jag har ritat upp området:

Men här ser jag bara att
Kan det hjälpa att dela upp området i en vänster och högerdel? X= 1
Dubbelintegralen blir då 2 dubbelintegraler med varsina y-funktioner.
Analys skrev:Dubbelintegralen blir då 2 dubbelintegraler med varsina y-funktioner.
Tänker jag rätt såhär?
Precis, verkar det rimligt? Ett tag sen jag gjorde dubbelintegraler men uppdelning på olika områden är ju en klassisk metod.