Dubbelintegral


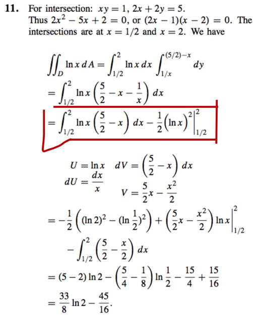
Här är frågan och facit till uppgift 11. Jag hänger med ända tills det jag har markerat i rött. Jag förstår inte vad som händer när det skrivit , har de gjort så att dx blir en egen integral? Men jag kanske bara glömt bort hur det blir när man integrerar den?
Avokado12345 skrev:
, har de gjort så att dx blir en egen integral?
Ja, de har delat upp ursprungsintegralen i två.
För att integrera den andra delen har de observerat att derivatan av ln(x) är 1/x så att om vi sätter f(x) = ln(x) så kan integranden skrivas f(x)•f'(x), vilket leder tankarna till kedjeregeln, där f'(x) är den "inre derivatan".
Derivatan av (f(x))2 är ju 2•f(x)•f'(x)
Yngve skrev:Avokado12345 skrev:, har de gjort så att dx blir en egen integral?Ja, de har delat upp ursprungsintegralen i två.
För att integrera den andra delen har de observerat att derivatan av ln(x) är 1/x så att om vi sätter f(x) = ln(x) så kan integranden skrivas f(x)•f'(x), vilket leder tankarna till kedjeregeln, där f'(x) är den "inre derivatan".
Derivatan av (f(x))2 är ju 2•f(x)•f'(x)
Okej, jag tror jag förstår! Därefter gör de ett variabelbyte och byter U= lnx och V=. De väljer V till det eftersom om man integrerar lnX(dV) så blir det bara dV kvar sen liksom i den delen efter att man integrerat och innan man ska sätta in gränser? Är en aningens förvirrad men det kanske klickar snart