2
svar
99
visningar
Iggelopiggelo behöver inte mer hjälp
Dubbelintegral
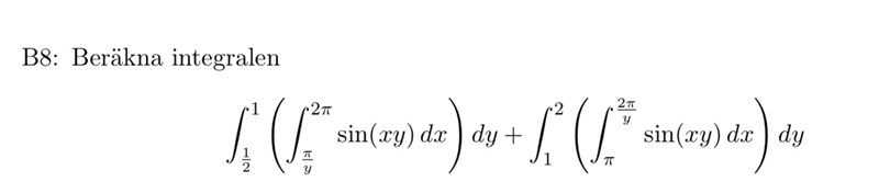
Fråga:
Min uträkning:
Förstår inte riktigt hur jag ska ta mig vidare, någon som kan vara snäll och ge mig en ledning?

https://mathb.in/80126
Tack snälla! Tack för en så tydlig lösning