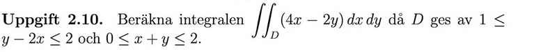
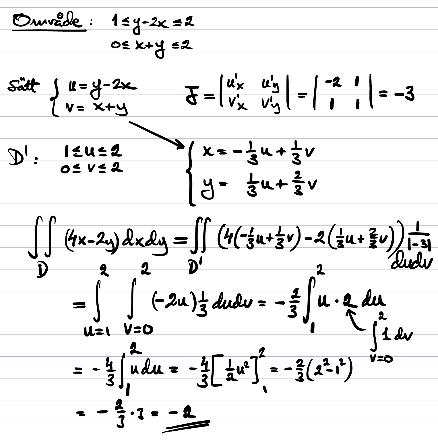
Dubbelintegral
Hej! I följande uppgift tänkte jag att jag får fram integrationsgränserna genom att räkna ut skärningspunkterna och fick att x går mellan -2/3 och 1/3 och jag testade även genom att räkna ut y gränserna och fick 0 till 2 men detta gav fel svar, varför? Sedan testade jag att ta y gränserna -x till 2-x men även detta gav fel svar, jag är nu väldigt förvirrad, hur ska man tänka?

Det blir nog smidigt att räkna om man först gör ett variabelbyte.
Varför det? När vi ändå har gränserna?? Då kan väl integrera först med avseende på y och sedan har vi bara ett uttryck med x och integrera med det? Varför funkar inte detta?
Om du låter x gå från -2/3 till 1/3 så ska y först gå från blå linje till mörkbrun(?) Sedan från grön linje till mörkbrun. Och till sist från grön linje till ljusbrun. Gränserna i y beror alltså av x.

Juste, men hur ska jag gå från mina gränser u=y-2x och v=x+y till att byta ut 4x-2y?
itter skrev:Juste, men hur ska jag gå från mina gränser u=y-2x och v=x+y till att byta ut 4x-2y?

Vad är tekniken att få fram x och y? I allmänhet? Bara lösa ekvationssystemet? Min lärare tog upp något om bas och koordinatbyte? Med matriser?
itter skrev:Vad är tekniken att få fram x och y? I allmänhet? Bara lösa ekvationssystemet? Min lärare tog upp något om bas och koordinatbyte? Med matriser?
Låter överarbetat med ett enkelt ekvationssystem som detta.