2
svar
92
visningar
Dubbelintegral
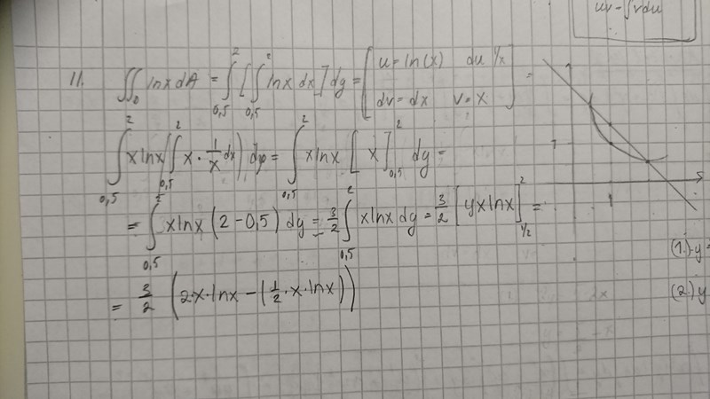
uppgift 11

Sådär har jag gjort och ja det är helt fel. Så nu undrar jag hur jag ska gå tillväga?
Jag misstänker att det blivit fel efter att jag gjort klart dx men jag fattar inte hur jag ska integrera ngt som inte finns?
Hej!
Integralen av är inte lika med Däremot är integralen av lika med , men det hjälper dig inte.
Albiki

Sådär har jag gjort nu. Men hur gör jag med x nu?