Dubbelintegral
Hej!
jag har svårt att komma vidare när jag tänker mig att vi har två st olikheter som dessa nedan:
- 1<=x+2y<=2x-y
- x+2y<=2x-y<=2

Rita området.
Laguna skrev:Rita området.
Tyvärr har jag fastnat för jag är förvirrad av olikheterna. Men jag försökte med gränserna istället.


Det här skissade jag pga de två olikheterna. Men jag kommer inte fram till hur området ska se ut.
Jag skulle rekommendera att du betraktar trippelolikheten som tre st enkelolikheter (vilket du faktiskt nästan gör), d.v.s. tolkas som:
- , vilket är ekvivalent med , så det är halvplanet ovanför linjen (rött i figuren nedan)
- , vilket är ekvivalent med , så det är halvplanet under linjen (blått i figuren nedan)
- , vilket är ekvivalent med , så det är halvplanet ovanför linjen (grönt i figuren nedan)
Området är alltså triangeln där alla dessa halvplan möts.

Denna integral är dock en typisk uppgift för tvåvariabelsbyte och
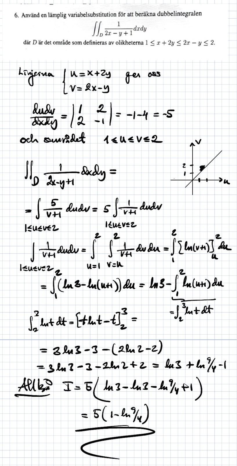
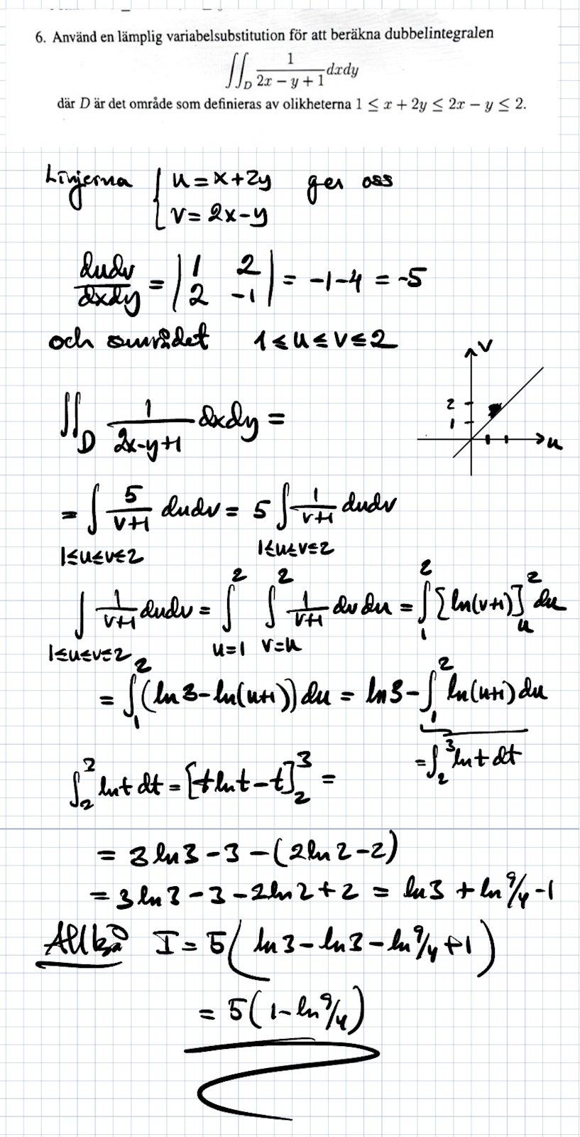
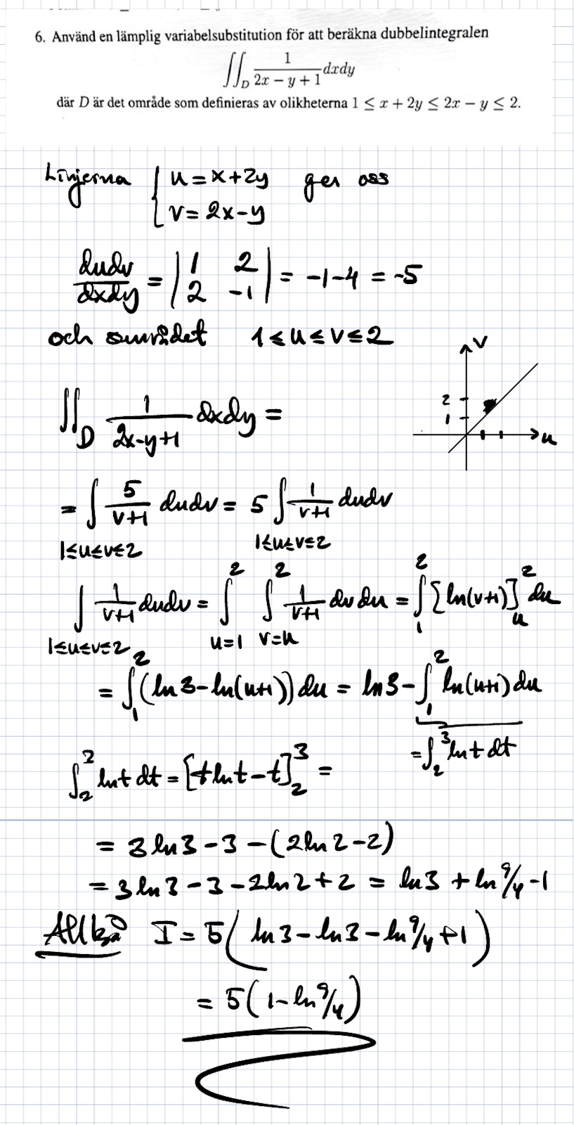
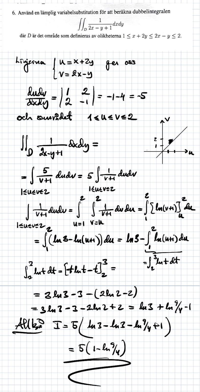
Något så här. Kolla, jag är trött idag…

LuMa07 skrev:Jag skulle rekommendera att du betraktar trippelolikheten som tre st enkelolikheter (vilket du faktiskt nästan gör), d.v.s. tolkas som:
- , vilket är ekvivalent med , så det är halvplanet ovanför linjen (rött i figuren nedan)
- , vilket är ekvivalent med , så det är halvplanet under linjen (blått i figuren nedan)
- , vilket är ekvivalent med , så det är halvplanet ovanför linjen (grönt i figuren nedan)
Området är alltså triangeln där alla dessa halvplan möts.
Denna integral är dock en typisk uppgift för tvåvariabelsbyte och
Typ såhär va ?

Trinity2 skrev:Något så här. Kolla, jag är trött idag…
Jättefin lösning,men jag stör mig på gränserna för u. Hur får du att det varierar mellan 1 och 2? Jag förstår att det varierar från 1 men inte till 2?
Det är bara att sätta in u och v i

Trinity2 skrev:Det är bara att sätta in u och v i
Jo det förstår jag. Men gränserna för u är jag inte med på var det kommer ifrån ? Vi vet att v har gränserna u till 2
u=x+2y och då ger början av olikheten, om vi ersätter x+2y med u att 1≤u sedan kommer u≤2x-y, men 2x-y=v så vi har 1≤u≤v≤2.
Du kanske då undrar varför 1≤u≤2 menar du? u är ≤ v och v är högst 2 varför u är högst 2.
Trinity2 skrev:u=x+2y och då ger början av olikheten, om vi ersätter x+2y med u att 1≤u sedan kommer u≤2x-y, men 2x-y=v så vi har 1≤u≤v≤2.
Du kanske då undrar varför 1≤u≤2 menar du? u är ≤ v och v är högst 2 varför u är högst 2.
Ja precis jag undrar varför 1<=u<=2. Då förstår jag!!
Trinity2 skrev:u=x+2y och då ger början av olikheten, om vi ersätter x+2y med u att 1≤u sedan kommer u≤2x-y, men 2x-y=v så vi har 1≤u≤v≤2.
Du kanske då undrar varför 1≤u≤2 menar du? u är ≤ v och v är högst 2 varför u är högst 2.
Varför får inte vi samma svar?


Nu får jag såhär

Trinity2 skrev:Något så här. Kolla, jag är trött idag…
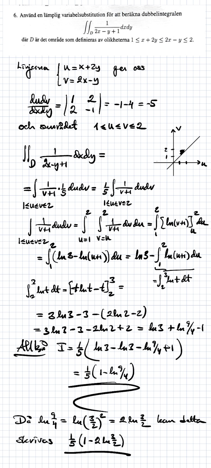
Ditt svar är inte rätt enligt facit. Det ska vara 1/5-2/5*ln(3/2). Jag förstår inte hur de kommer fram till det svaret. Såhär får jag

destiny99 skrev:Trinity2 skrev:Något så här. Kolla, jag är trött idag…
Ditt svar är inte rätt enligt facit. Det ska vara 1/5-2/5*ln(3/2). Jag förstår inte hur de kommer fram till det svaret. Såhär får jag
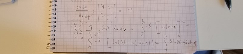
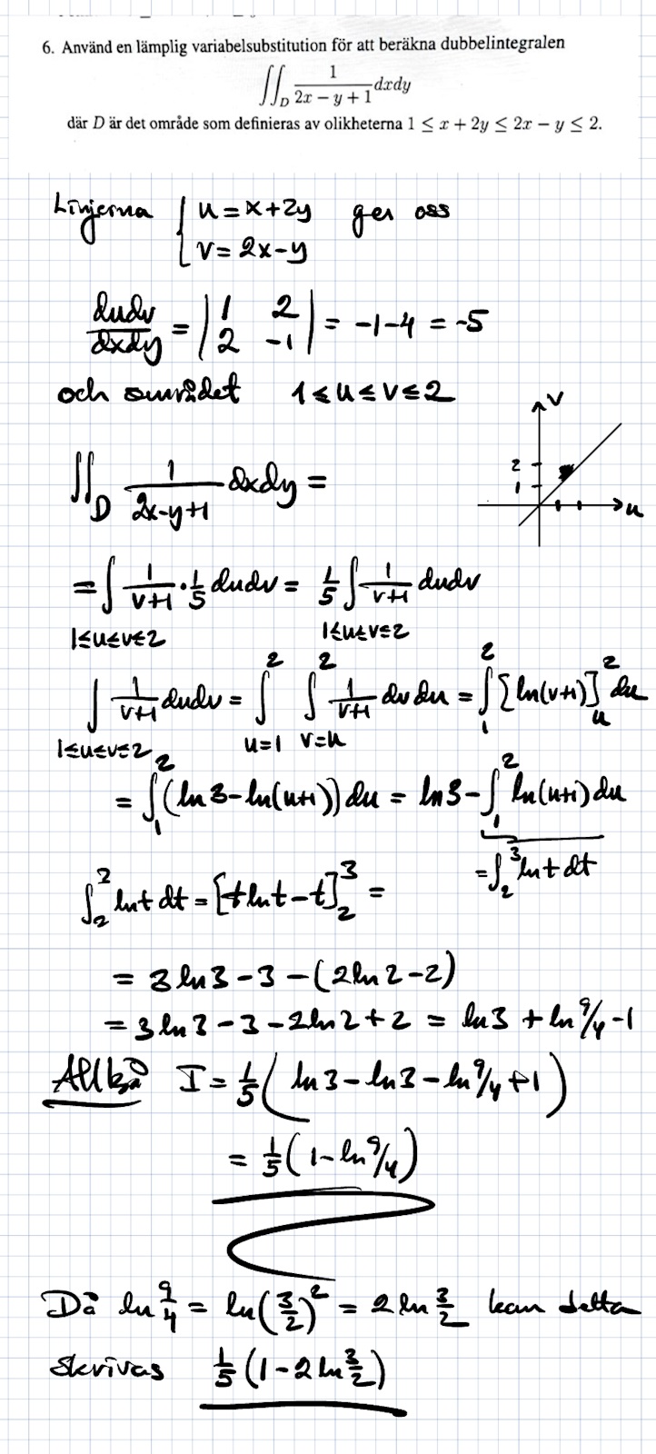
Ja, jag vände på Jacobianen i min trötthet... 1/5 skall det vara, inte 5.
Rättad version

Trinity2 skrev:Rättad version
Skulle du kika igenom min lösning i #15 och peka på exakt var felet är ? Det hade varit mycket hjälpsamt så att jag kan korrigera det och komma fram till samma svar. Jag är ju väldigt nära :)
Det här är vad jag får utan substitution som du gjort om man använder polynomdivision på u/(1+u)

Tillägg: 10 maj 2025 19:46
Räknaren anger samma värde som det jag fick fram i #19 och i #17.





