2
svar
102
visningar
dubbelintegral
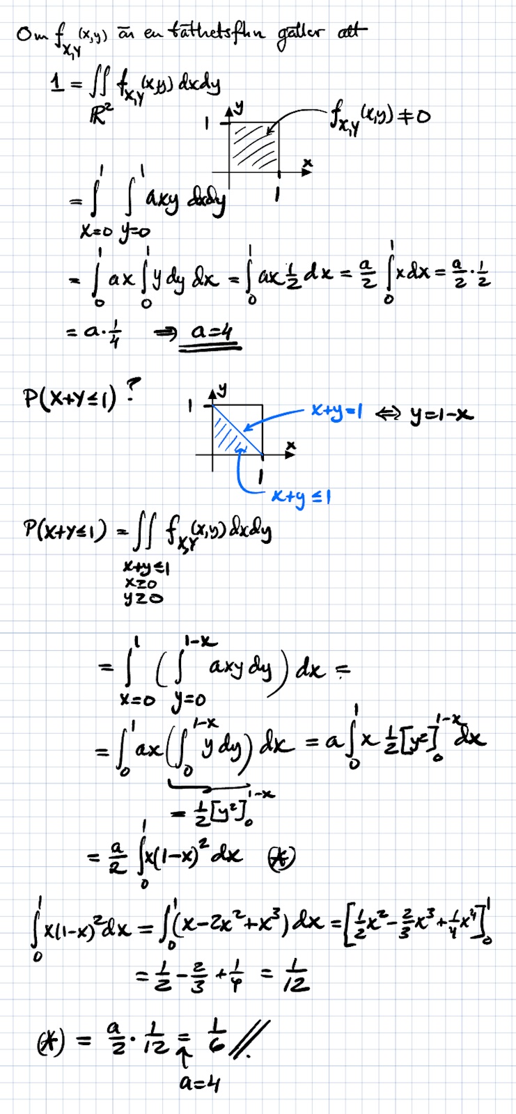
Hej, jag har löst att a=4. Men jag förstår inte hur jag ska lösa "dubbelintegralen" och gränserna "1-x" och i vilken ordning saker sker efter att jag löst ut a. Eftersom jag förstått/räknat ut a, så har jag ingen start på hur jag går vidare/visa idéer på uträkning.
Vänligen Olivia


här är hur jag fick ut a iaf, innan problemen kom
Något likt nedan
