Dubbelintegral
Hej. Jag kan har gjort flera uppgifter om dubbelintegraler och brukar ha lätt för dem, men just denna fattar jag inte. Jag kan kontrollera svaret i ett program så jag vet om det är rätt eller fel. Har testat flertalet tillvägagångssätt och hjälpmedel på internet men får inte rätt med det.
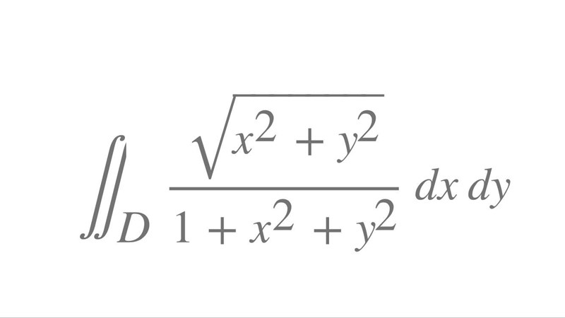
Uppgiften: Beräkna

där D är den del av området 1≤x^2+y^2≤16 som ligger i sektorn som illustreras i

Här ligger den gröna strålen längs linjen -1/2*y^2+1/2*sqrt(3)*x=0 och den röda strålen längs linjen 1/2*y^2+1/2*sqrt(3)*x=0.
Ledningar/lösning efterfrågas!!
Hej och välkommen hit.
Visa dina egna beräkningar, så är det mycket lättare att hjälpa till.
Här får du en ledtråd, ändå: Ser du att variablerna x och y enbart förekommer tillsammans, som (x^2+y^2) ?
Detta har jag testat bland annat:

Känns som det antingen är fel på mina variabelsubstitutioner eller på mina gränser och hur jag kommit fram till dem. Har dock ingen aning hur jag ska göra på annat sätt.
Polära koordinater.

Nu då?

Har kommit. Vet någon vad jag gör för fel?
Varifrån får du siffrorna 1 och 4 i integrationsgränserna för r? Jag kan inte hitta dem i bilden av integrationsområdet i ditt förstainlägg.
Så här tänkte jag: D: 1 <= x^2+y^2 <= 16
r^2 = x^2+y^2
1 <= r^ <= 16
1<= r <= 4
