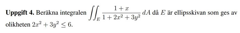
Dubbelintegral ellipsskiva
.jpg?width=800&upscale=false)
Hej, jag försöker beräkna den här dubbelintegralen men har kört fast lite. Jag tänker att det känns smart att byta till polära koordinater så har skrivit om . Jag har även räknat ut determinanten till jacobimatrisen till . Såhär långt känns metoden rimlig.
Problemen uppstår när jag ska försöka omvandla till polära koordinater. Min inre diagonal jag försöker räkna ut blir då
Därifrån förstår jag inte riktigt hur jag ska komma framåt, har försökt finna en primitiv funktion med wolfram alpha men det blir något som känns orimligt att räkna ut för hand. Antar att det finns något smart trick för att komma vidare? Eller har jag tänkt helt fel från början?
Hej Elliot,
När du beräknar integralen kommer du kanske få en term som innehåller över till . Eftersom integrationsområdet är symmetriskt kommer den termen naturligtvis inte ge något bidrag till den totala integralen.
Kvar blir en integral av typen (med lite konstanter)
vars primitiva funktion är
Visa hur långt om du kommit om du behöver mer hjälp och lycka till!