Dubbelintegral flervarre


Hej!
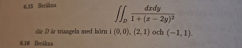
Jag körde fast på denna fråga och vet inte om jag möjligen har satt fel gränser med avseende på x och y som jag ritat i figuren ovan.
Är också ny på detta så kan vara att jag gör det väldigt ineffektivt. Men du borde kunna dela upp en från -1 till 0 och 0 till 2. Det är två enkla funktioner av x som verkar i båda dessa intervall, ser du vilka och hur du ska ställa upp integralerna?
MrPotatohead skrev:Är också ny på detta så kan vara att jag gör det väldigt ineffektivt. Men du borde kunna dela upp en från -1 till 0 och 0 till 2. Det är två enkla funktioner av x som verkar i båda dessa intervall, ser du vilka och hur du ska ställa upp integralerna?
Jag frågade AI och den säger att vi ska integrera från y till 2y map x och sen 0 till 1 map y. Det lät typ rimligt typ för vi har linjerna y=-x, y=1/2x samt y=1
skulle du kunna skicka bild på hur du gjort, har försökt med båda förslagen med får fel svar?
fisher skrev:skulle du kunna skicka bild på hur du gjort, har försökt med båda förslagen med får fel svar?
Hej! Ja absolut :)