1
svar
112
visningar
nilson99 behöver inte mer hjälp
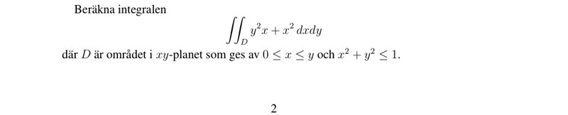
dubbelintegral i cirkelintervall?


Finns inget facit, har jag tänkt rätt och hur integrerar jag sen det här uttrycket? Känns så långt. Jag vet hur man integrerar dubbelintegraler, vet bara inte hur jag ska integrera just denna integral...
Se följande länk
https://www.pluggakuten.se/trad/berakna-integralen-18/