5 svar
118 visningar
Soderstrom behöver inte mer hjälp
Soderstrom 2768
Postad: 20 maj 2020 21:51 Redigerad: 20 maj 2020 21:52

Dubbelintegral — kontroll av resultat

Hej! 

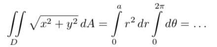
Man ska beräkna dubbelintegralen över disken D:

Min lösning:

Jag har inte facit och undrar jag tänkt rätt.

Tack på förhand. 

Jroth 1191 – Fd. Medlem
Postad: 20 maj 2020 22:47

Du har ett rr extra i din integrand.

Soderstrom 2768
Postad: 21 maj 2020 00:11 Redigerad: 21 maj 2020 00:12

Tack Jroth. 

Jag fick 02π0ar2drdθ=2πa33\displaystyle \int_{0}^{2\pi}\int_{0}^{a} r^2 dr d\theta= \frac{2\pi a^3}{3}

Stämmer det? :)

dr_lund 1177 – Fd. Medlem
Postad: 21 maj 2020 08:31

Nästan rätt. Du har ett r för mycket:

Soderstrom 2768
Postad: 21 maj 2020 13:03

Tack, dr_lund. Jag tror att mitt svar ovan är likt ditt :) så jag utgår från att jag löst uppgiften? :)

Jroth 1191 – Fd. Medlem
Postad: 21 maj 2020 13:07

Ja, rätt svar på uppgiften är

2πa33\displaystyle \frac{2\pi a^3}{3}

Svara
Close