Dubbelintegral: litenpush i rätt riktning plize

Efter att ha försökt att utveckla uttrycket med pascal triangel kände jag på mig att... detta ser ut som en klassisk pytagorian triangel.
Men jag vet inte hur parametrisera den.
Kan jag få en liten push i rätt riktning?
Min abort-mission försök när jag fick en smula sund fornuft:

Prova att använda parameteriseringen , ; kom ihåg att beräkna funktionaldeterminanten .
hmmm... sorry förstår inte. Jag har aldrig gjort .
Finns det nåt enkelt parametrisering med enhetcirkel eller Pythagoras sats (man får alltid hoppa).
dajamanté skrev:hmmm... sorry förstår inte. Jag har aldrig gjort .
Finns det nåt enkelt parametrisering med enhetcirkel eller Pythagoras sats (man får alltid hoppa).
Då får du väl ta och lära dig om funktionaldeterminant! Den går även under namnet Jacobian.
Albiki skrev:dajamanté skrev:hmmm... sorry förstår inte. Jag har aldrig gjort .
Finns det nåt enkelt parametrisering med enhetcirkel eller Pythagoras sats (man får alltid hoppa).
Då får du väl ta och lära dig om funktionaldeterminant! Den går även under namnet Jacobian.
Såg en post som såg väldigt pedagogisk på Quora. Jag lovar att läsa den så småningom, imorgon bitti. Om du har något enklare metod så länge tar jag den gärna.
Okej. Jag förstår fortfarande inte grejen. Har googlat mer om Jacobism och förrutom fransk revolution skiten som jag redan fick för mycket av i gymnasiet, hittar jag inte vad skulle vara relevant för min problem.
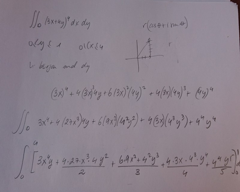
Jag har (äntligen) löst uppgift med en effektiv faktorisering; rätt svar är
Men nu känner jag ett hål i hjärtat. Kan nån visa hur man jacobinisera detta tal?
Tänkte bara flika in en metod som kan vara kul att studera innan du lär dig om jakobianer (metoderna är kusiner)
En intressant egenskap hos din integrand är att den kan skrivas som
där är en funktion vars nivåkurvor bildar räta linjer tvärs över integrationsområdet. Om du låter för några olika konstanter u får du
Kanske kan vi utnyttja det på något sätt? Först noterar vi att värdet på varje nivåkurva som börjar i x ges av . Om vi delar upp området i många smala "band" och multiplicerar arean av varje band med funktionsvärdet (det är ju ungefär konstant i hela bandet) bör vi få en uppskattning av integralen. Vi börjar med det lättaste (det blå) området

Arean av det ljusblå bandet är eftersom h=1. Nu kan vi samla ihop alla bidrag i detta område (arean av bandet multiplicerat med )
Det blev ju en jättelätt integral! På motsvarande sätt kan man samla ihop band i det vänstra rosa-lila området. Denna gång kommer höjden att vara en funktion av u (eller om man så vill x), varje infinitesimal area blir , alltså får vi (arean av bandet multiplicerat med )
Slutligen ger samma metod för det högra området:
Visst påminner det en del om metoden med cylindriska skal?
dajamanté skrev:Okej. Jag förstår fortfarande inte grejen. Har googlat mer om Jacobism och förrutom fransk revolution skiten som jag redan fick för mycket av i gymnasiet, hittar jag inte vad skulle vara relevant för min problem.
Jag har (äntligen) löst uppgift med en effektiv faktorisering; rätt svar är
Men nu känner jag ett hål i hjärtat. Kan nån visa hur man jacobinisera detta tal?
Egentligen tycker jag det är onödigt att se detta som att vi byter båda variablerna. Egentligen gör vi ju bara ett envariabelbyte eftersom . Då kan man ju lika gärna bara göra en envariabelsubsitution på den inre integralen och låtsas att den ena variabeln är konstant.
Men låt oss i syfte att lära oss göra det hela med Jacobideterminanten. Om vi ska byta mot måste vi likt med envariabelintegraler multiplicera med ett visst uttryck. Detta uttryck är Jacobideterminanten:
Jacobideterminanten är determinanten av en viss matris, nämligen Jacobimatrisen, vilket egentligen bara är alla de olika partiella derivatorna:
För att få fram dessa kan vi lösa ut och ur , :
Detta ger:
vilket gör att determinanten blir:
Alltså är . Vår integral blir då:
Nu återstår bara att omvandla området till området med variabelbytet. Om vi sätter in gränserna för får vi:

Vi skulle kunna göra samma sak med , men eftersom vet vi att gränserna blir detsamma. Området blir således:
Nu kan vi ställa upp vår integral:
Hej!
Funktionaldeterminanten för variabelbytet , -- som är ekvivalent med , -- är lika med följande funktion.
Dubbelintegralen uttryckt i -variablerna är följande tal.
där integrationsområdet är uttryckt i -variablerna.
Dubbelintegralen beräknas som två itererade enkelintegraler.
.
Den inre enkelintegralen är
Den yttre enkelintegralen är
Dubbelintegralen blir därför lika med följande tal.
Jag känner att jag måste återkomma med fräsch hjärna för att verkligen ta in det 😊. Det faktiskt ser inte ut så svårt! Men just nu har jag lite hjärnblödning från C++ uppgifter.
while(eyes still bleeding){
if(math)
{
closeBrainFor(math);
}else{
restartEyesHemorrage();
}
Tack till alla tre, jag återkommer imorgon!

Guggle skrev:Tänkte bara flika in en metod som kan vara kul att studera innan du lär dig om jakobianer (metoderna är kusiner)
En intressant egenskap hos din integrand är att den kan skrivas som
Hur kan en två variabel funktion kan integreras bara med avseende på en variabel? Hur kan vi dumpa i god samvete här?
där är en funktion vars nivåkurvor bildar räta linjer tvärs över integrationsområdet. Om du låter för några olika konstanter u får du
Ok 😀
Kanske kan vi utnyttja det på något sätt? Först noterar vi att värdet på varje nivåkurva som börjar i x ges av . Om vi delar upp området i många smala "band" och multiplicerar arean av varje band med funktionsvärdet (det är ju ungefär konstant i hela bandet) bör vi få en uppskattning av integralen. Vi börjar med det lättaste (det blå) området
Arean av det ljusblå bandet är eftersom h=1. Nu kan vi samla ihop alla bidrag i detta område (arean av bandet multiplicerat med )
Det blev ju en jättelätt integral!
Ja, men... om vi multiplicerar höjden gånger breden, har vi inte integrerat en rektangel?
Och vi integrerar från till , korrekt?

På motsvarande sätt kan man samla ihop band i det vänstra rosa-lila området. Denna gång kommer höjden att vara en funktion av u (eller om man så vill x), varje infinitesimal area blir , alltså får vi (arean av bandet multiplicerat med )
Därifrån är jag inte med tyvärr.
Jag tror det har att göra att jag ser att det är rektanglar vi integrerar..
AlvinB skrev:Jacobideterminanten är determinanten av en viss matris, nämligen Jacobimatrisen, vilket egentligen bara är alla de olika partiella derivatorna:
Okej 😀
För att få fram dessa kan vi lösa ut och ur , :
Detta ger:
Okej 😀
Okej, men varför inte minus?
Hmmm notokej. Varför inte:
?
Enligt din ekvation raden efter det blir nog , men varför?
EDIT: just det, ni alla skriver . Men hur bestäms egentligen att ?
vilket gör att determinanten blir:
Alltså är . Vår integral blir då:
Nu återstår bara att omvandla området till området med variabelbytet. Om vi sätter in gränserna för får vi:
Okej 😀
Vi skulle kunna göra samma sak med , men eftersom vet vi att gränserna blir detsamma.
Uhhh... what?
Området blir således:
Nu kan vi ställa upp vår integral:
Albiki skrev:Hej!
Funktionaldeterminanten för variabelbytet , -- som är ekvivalent med , -- är lika med följande funktion.
Okej, så det är AlvinBs metoden fast mer kompakterad 😀.
Jag återkommer med mer frågor lite senare! Tack :)
dajamanté skrev:Guggle skrev:Tänkte bara flika in en metod som kan vara kul att studera innan du lär dig om jakobianer (metoderna är kusiner)
En intressant egenskap hos din integrand är att den kan skrivas som
Hur kan en två variabel funktion kan integreras bara med avseende på en variabel? Hur kan vi dumpa i god samvete här?
Nej, vi kan inte dumpa där det är jag som slarvat, det skulle stått
Jag återkommer med en bra ursäkt när jag kommit på någon! Men poängen är alltså att utmed nivåkurvorna i figuren.
Ok 😀
Ja, men... om vi multiplicerar höjden gånger breden, har vi inte integrerat en rektangel?
Njäe, arean av en parallellogram är höjden gånger basen, det ges av lite trigonometri. Men du kan också använda linjär algebra! Kanske kommer du ihåg kryssprodukten och arean som två vektorer spänner i planet?

Vi noterar att höjden h är , alltså blir arean av parallellogramen .
Funktionen g(x,y) är konstant (=) utmed räta linjer. För varje är . När vi samlar ihop alla areor och multiplicerar dem med funktionens värde upphöjt till 4 får vi integralen för området.
Guggle skrev:dajamanté skrev:Guggle skrev:Tänkte bara flika in en metod som kan vara kul att studera innan du lär dig om jakobianer (metoderna är kusiner)
En intressant egenskap hos din integrand är att den kan skrivas som
Hur kan en två variabel funktion kan integreras bara med avseende på en variabel? Hur kan vi dumpa i god samvete här?
Nej, vi kan inte dumpa där det är jag som slarvat, det skulle stått
Jag återkommer med en bra ursäkt när jag kommit på någon! Men poängen är alltså att utmed nivåkurvorna i figuren.
Ok 😀
Ja, men... om vi multiplicerar höjden gånger breden, har vi inte integrerat en rektangel?Njäe, arean av en parallellogram är höjden gånger basen, det ges av lite trigonometri.
Oohohohohoho. The Shame. Ja det stämmer.
Men du kan också använda linjär algebra! Kanske kommer du ihåg kryssprodukten och arean som två vektorer spänner i planet?
Vi noterar att höjden h är , alltså blir arean av parallellogramen .
Funktionen g(x,y) är konstant (=) utmed räta linjer. För varje är . När vi samlar ihop alla areor och multiplicerar dem med funktionens värde upphöjt till 4 får vi integralen för området.
Hmm jag förstår nästan. Hur vår jag om jag vill nu testa det?
dajamanté skrev:Okej, men varför inte minus?
Slarvfel från min sida. Det skall vara:
Hmmm notokej. Varför inte:
?
Vi ska derivera med avseende på . Du har deriverat med avseende på . Eftersom och ses som konstant med avseende på blir derivatan noll.
Enligt din ekvation raden efter det blir nog , men varför?
Återigen, , och derivatan av med avseende på blir ett.
EDIT: just det, ni alla skriver . Men hur bestäms egentligen att ?
För att göra det så enkelt som möjligt. Vi behöver ju bara en variabel för att förenkla -parentesen, och då blir det minst jobb med variabelbytet om vi sätter .
Vi skulle kunna göra samma sak med , men eftersom vet vi att gränserna blir detsamma.
Uhhh... what?
Jag menade att om vi skulle sätta in i ekvationerna som vi gjorde med :
Men eftersom blir ju gränserna samma, och alltså kan vi lika gärna bara direkt konstatera att .
Ett alternativt sätt att tänka på det här variabelbytet är att vi gör ett vanligt envariabelbyte på den inre enkelintegralen:
Gränserna blir:
Då blir integralen:
Vilket är samma integral som vi slutade på med Jacobideterminanten. Eftersom vi egentligen bara byter en variabel ( var ju lika med ) kan man göra bytet som ett envariabelbyte och slippa Jacobideterminanten.
Okej, är mer och mer med.
Imorgon ska jag LaTex:era din lösning 😀!
Den har sitt plats efter effektivkaratepass-lösning.

@Guggle: jag verkligen gillar din lösning, men innan jag ger mig på LaTex måste jag ha ännu ytterligare förklaringar!
Guggle skrev:Tänkte bara flika in en metod som kan vara kul att studera innan du lär dig om jakobianer (metoderna är kusiner)
En intressant egenskap hos din integrand är att den kan skrivas som
där är en funktion vars nivåkurvor bildar räta linjer tvärs över integrationsområdet. Om du låter för några olika konstanter u får du
Okej, låt oss börja där.
Hur får du flera nivåkurvor i mathematica eller mathlabs?
Jag får antigen en eller flera som jag är osäker på hur dem kan tolkas.
Alltså antigen:

eller:

Kanske kan vi utnyttja det på något sätt? Först noterar vi att värdet på varje nivåkurva som börjar i x ges av .
Låt oss stoppa här.
Som låten säger: min tänkande sägs let's go, men båda mina ögon bromsar (eller nåt liknande). Om vi måste tänka grafiskt, jag ser att ! Och vad är sett kan inte bli osett (eller nåt sånt). Hur exakt menar du med ?
Om vi delar upp området i många smala "band" och multiplicerar arean av varje band med funktionsvärdet (det är ju ungefär konstant i hela bandet) bör vi få en uppskattning av integralen. Vi börjar med det lättaste (det blå) området
Arean av det ljusblå bandet är eftersom h=1. Nu kan vi samla ihop alla bidrag i detta område (arean av bandet multiplicerat med )
Dessa gränser, hur funkar dem? Dem ser ut som och . Det verkar vara och ... men hur?
Det blev ju en jättelätt integral! På motsvarande sätt kan man samla ihop band i det vänstra rosa-lila området. Denna gång kommer höjden att vara en funktion av u (eller om man så vill x), varje infinitesimal area blir , alltså får vi (arean av bandet multiplicerat med )
... på samma sätt kan jag inte fatta varför inte ?
Slutligen ger samma metod för det högra området:
Detta 4:an, det är hela område?